W tym zadaniu musisz wyznaczyć dominantę zestawu liczb 7, 9, 2, 3, 2, 7, 3, a, b, jeśli jego średnia arytmetyczna i mediana są równe i wynoszą 5.
Ustawiając znane liczby w kolejności rosnącej otrzyma się ciąg:
2, 2, 3, 3, 7, 7, 9
2, 2, 3, 3, 5, 7, 7, 7, 9
Najczęściej pojawia się w nim 7 więc tyle wynosi dominanta tego zestawu.
Odp.: D. 7.
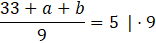
Średnia arytmetyczna podanego zestawu liczb wyraża się wzorem:
Przyrównując to wyrażenie do 5 otrzymasz:
Ustaw znane liczby w kolejności rosnącej.
2, 2, 3, 3, 7, 7, 9
Po dołożeniu liczb a i b tych liczb będzie 9, zaś medianą będzie piąta liczba. Skoro mediana ma wynosić 5 i ma być piątą liczbą to tą liczbą musi być 5. Zauważ, że nie ma tej liczby w znanych liczbach, więc któraś z liczb a lub b wynosi 5. Nie ma znaczenia którą przyjmiesz jako 5, więc bez straty ogólności przyjmij, że będzie to a. W takim wypadku b wynosi:
Więc cały zestaw będzie wyglądał następująco:
2, 2, 3, 3, 5, 7, 7, 7, 9
Najczęściej pojawia się w nim 7 więc tyle wynosi dominanta tego zestawu.
Zadanie 16.
89Zadanie 17.
90Zadanie 18.
90Zadanie 25.
98Zadanie 27.
98Zadanie 16.
103Zadanie 17.
103Zadanie 19.
103Zadanie 14.
111Zadanie 13.
114Zadanie 14.
114Zadanie 21.
131Zadanie 23.
137Zadanie 28.
138Zadanie 20.
142Zadanie 23.
148