W tym zadaniu trzeba sprawdzić, czy podjazd którego długość wynosi 2,8 m i który wznosi się na wysokość 30 cm spełnia wymogi przepisów budowlanych mówiące, że kąt nachylenia podjazdu dla wózków inwalidzkich znajdującego się wewnątrz budynku musi być mniejszy niż 5°.
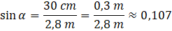
Równia podjazdu, podłoże oraz ściana, o którą jest oparty podjazd tworzą trójkąt prostokątny. Kąt między podłożem a równią podjazdy znajduje się naprzeciw ściany, o którą oparty jest podjazd. Sinus tego kąta ma wartość:
Więc podjazd nie spełnia norm budowlanych.
W celu sprawdzenia czy opisany podjazd spełnia wymogi budowlane wystarczy, że obliczysz jego kąt nachylenia do podłoża.
Podjazd ten tworzy trójkąt prostokątny z podłożem oraz ze ścianą o który jest oparty. Masz informacje na temat długości przyprostokątnej (którą jest ściana) oraz przeciwprostokątnej (czyli równia pochyła tego podjazdu). Musisz znaleźć wartość kąta znajdującego się naprzeciw ściany (czyli między podłożem, a równią). Dzieląc przez siebie wysokość ściany przez długość równi otrzymasz wartość sinusa szukanego kąta.
Pamiętaj, że zarówno w liczniku jak i w mianowniku muszą być te same jednostki. Aby wyznaczyć wartość kąta α musisz w tablicach wartości funkcji trygonometrycznych znaleźć kąt, którego wartość sinusa jest najbliżej otrzymanego wyniku. Okazuje się, że jest to kąt 6°. Ponieważ jest to kąt większy od 5°, to opisany podjazd nie spełnia norm budowlanych.
Zadanie 16.
89Zadanie 17.
90Zadanie 18.
90Zadanie 25.
98Zadanie 27.
98Zadanie 16.
103Zadanie 17.
103Zadanie 19.
103Zadanie 14.
111Zadanie 13.
114Zadanie 14.
114Zadanie 21.
131Zadanie 23.
137Zadanie 28.
138Zadanie 20.
142Zadanie 23.
148