Wykaż, że aby ramka zrobiona z drutu o długości d w kształcie równoległoboku o kącie ostrym α, ograniczała jak największe pole, powinna mieć kształt rombu.
a – długość jednego boku
b – długość drugiego boku
d = 2a + 2b – obwód równoległoboku, czyli długość drutu
Funkcja kwadratowa, o miejscach zerowych x = 0 i x =
W pierwszej kolejności wypisz co wiesz na temat tej ramki. Oznacz jako a długość jej jednego boku, zaś jako b – długość drugiego boku. Wtedy długość całej ramki wyraża się wzorem:
Możesz z tego wzoru wyznaczyć zależność między np. b i a, przez przeniesienie a na drugą stronę:
2
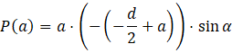
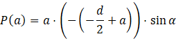
Aby wyrazić pole równoległoboku ograniczonego przez tę ramkę skorzystaj ze wzoru na pole równoległoboku w zależności od długości boków i kąta między nimi:
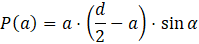
Ale ponieważ, wyprowadziłeś wzór na b w zależności od a, to podstawiając za b otrzymasz zależność pola od odległości od ścianki (pamiętaj, że kąt jest ustalony, i tego sinusa możesz traktować jako pewną liczbę).
Zauważ, że jest to prawie postać iloczynowa funkcji kwadratowej. Aby w pełni była to ta postać, w żadnym nawiasie przy a nie mogą stać żadne liczby ani minusy (współczynnik przy a musi być równy 1). Aby to uzyskać musisz z pierwszego nawiasu wyciągnąć przed niego to, co stoi przy a, a więc -1. Robisz to dzieląc każdy składnik w nawiasie przez -1.
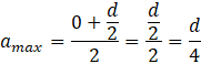
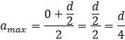
Dostałeś postać iloczynową funkcji kwadratowej, z której możesz odczytać miejsca zerowe tej funkcji. Jednym z nich jest
Wyraziłeś pole rozważanego równoległoboku jako funkcję kwadratową boku a. Ponieważ współczynnik a (nie myl z bokiem a, tu chodzi o współczynnik we wzorach na funkcję kwadratową) jest ujemny (kąt α jest ostry, więc sinus tego kąta jest dodatni, co po przemnożeniu przez minus daje liczbę ujemną niezależnie od kąta), to parabola będąca wykresem tej funkcji ma ramiona skierowane w dół, a więc funkcja ta osiąga maksimum w wierzchołku tej paraboli. Więc aby obliczyć dla jakiej długości boku a pole rozważanego równoległoboku jest największe, wystarczy, że znajdziesz pierwszą współrzędną wierzchołka, oznaczaną jako p. Ponieważ znasz miejsca zerowe tej funkcji, to możesz wykorzystać wzór, który używa właśnie miejsc zerowych:
Musisz jeszcze obliczyć długość boku b. Robisz to przez podstawienie do wcześniej uzyskanego wzoru otrzymanego wyniku.
A więc długości boków równoległoboku, który ma największe pole są tej samej długości, więc ten równoległobok musi być rombem, co należało udowodnić.
Zadanie 16.
89Zadanie 17.
90Zadanie 18.
90Zadanie 25.
98Zadanie 27.
98Zadanie 16.
103Zadanie 17.
103Zadanie 19.
103Zadanie 14.
111Zadanie 13.
114Zadanie 14.
114Zadanie 21.
131Zadanie 23.
137Zadanie 28.
138Zadanie 20.
142Zadanie 23.
148