W tym zadaniu musisz wyznaczyć równanie prostej która jest symetralną odcinka łączącego punkty o współrzędnych (-7, 6) oraz (-3, -4).
Symetralna odcinka to prosta prostopadła do niego i przechodząca przez jego środek. Współczynniki kierunkowe prostych prostopadłych spełniają zależność:
Współczynnik kierunkowy prostej przechodzącej przez podane punkty:
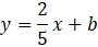
Współczynnik kierunkowy szukanej symetralnej.
Równanie szukanej symetralnej:
Środek podanego odcinka:
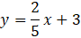
Więc równanie szukanej symetralnej to:
Odpowiedź: B.
Symetralna odcinka to prosta prostopadła do niego i przechodząca przez jego środek. Współczynniki kierunkowe prostych prostopadłych spełniają zależność:
Aby wyliczyć współczynnik kierunkowy prostej przechodzącej przez podane punkty skorzystaj ze wzoru na współczynnik kierunkowy prostej przechodzącej przez dwa punkty. Podstawiając odpowiednio współrzędne otrzymasz:
Podstawiając otrzymany współczynnik do zależności między prostymi prostopadłymi do siebie otrzymasz współczynnik kierunkowy szukanej symetralnej.
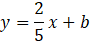
Równanie szukanej symetralnej możesz zapisać jako:
Symetralna przechodzi przez środek danego odcinka. Teraz wyznacz środek podanego odcinka korzystając ze wzoru na współrzędne środka odcinka:
Ponieważ do szukanej prostej ma należeć otrzymany punkt, to podstawiając jego pierwszą współrzędną za x, zaś drugą współrzędną za y otrzymasz prawdziwą zależność.
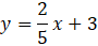
Więc równanie szukanej symetralnej to:
Zamieniając ułamek zwykły na dziesiętny otrzymasz:
Zadanie 16.
89Zadanie 17.
90Zadanie 18.
90Zadanie 25.
98Zadanie 27.
98Zadanie 16.
103Zadanie 17.
103Zadanie 19.
103Zadanie 14.
111Zadanie 13.
114Zadanie 14.
114Zadanie 21.
131Zadanie 23.
137Zadanie 28.
138Zadanie 20.
142Zadanie 23.
148