W tym zadaniu musisz wyznaczyć pole trapezu prostokątnego, jeśli jego kąt ostry ma miarę α, zaś podstawa o krótszej długości i ramię, które jest dłuższe są równe i mają długość a.
Odpowiedź: A.
Narysuj opisany trapez. Zaznacz jego wysokość, tak by podzieliła ten trapez na prostokąt oraz trójkąt prostokątny. Oznacz przez b drugą przyprostokątną tego trójkąta.
Sinus kąta α wyraża się wzorem:
Więc h możesz zapisać jako:
Z kolei cosinus kąta α wyraża się wzorem:
Więc b możesz zapisać jako:
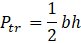
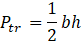
Pole trójkąta prostokątnego będzie wynosiło:
Podstawiając otrzymane zależności możesz zapisać, że to pole wynosi:
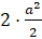
Z kolei pole prostokąta wynosi:
Podstawiając za h wcześniejsze wyrażenie:
Oczywiście pole całego trapezu to suma pól prostokąta oraz trójkąta prostokątnego. Więc pole to możesz zapisać jako:
Ponieważ w obu składnikach sumy znajduje się ten sam element (a2 sin α) to warto go wyciągnąć przed nawias. Jednakże wtedy otrzymałbyś w nawiasie wyrażenie
Zadanie 16.
89Zadanie 17.
90Zadanie 18.
90Zadanie 25.
98Zadanie 27.
98Zadanie 16.
103Zadanie 17.
103Zadanie 19.
103Zadanie 14.
111Zadanie 13.
114Zadanie 14.
114Zadanie 21.
131Zadanie 23.
137Zadanie 28.
138Zadanie 20.
142Zadanie 23.
148