W tym zadaniu musisz obliczyć wysokość h walca, w którym średnica podstawy wynosi d oraz w którym suma pól podstaw jest równa polu powierzchni bocznej.
Odpowiedź: A.
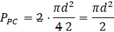
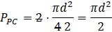
Pole podstawy tego walca to pole koła będącego podstawą. Koło to ma średnicę d, czyli jego promień to połowa d. Podstawiając do wzoru na pole koła otrzymasz:
W walcu pola obu podstaw są równe, więc suma pól to po prostu dwukrotność pola podstawy.
Powierzchnia boczna tego walca to prostokąt, którego jednym bokiem jest wysokość walca, zaś drugim – obwód podstawy. Obwód koła znając jego średnicę wynosi po prosu dπ. Więc pole powierzchni bocznej w tym przypadku wynosi:
Z treści zadania wiesz, że obydwa pola są sobie równe, co możesz zapisać jako:
Z tej równości musisz wyznaczyć h. Wystarczy, że z prawej strony przeniesiesz na lewą dπ przez podzielenie obu stron przez nie.
Zadanie 16.
89Zadanie 17.
90Zadanie 18.
90Zadanie 25.
98Zadanie 27.
98Zadanie 16.
103Zadanie 17.
103Zadanie 19.
103Zadanie 14.
111Zadanie 13.
114Zadanie 14.
114Zadanie 21.
131Zadanie 23.
137Zadanie 28.
138Zadanie 20.
142Zadanie 23.
148