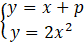
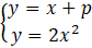
W tym zadaniu musisz określić przy jakich p, prosta zadana równaniem y = x + p przecina parabolę y = 2x2 w dwóch punktach.
To równanie (a co za tym idzie cały układ równań) ma dwa rozwiązania tylko wtedy, gdy Δ > 0.
Odpowiedź: A.
Prosta przecina parabolę w dwóch punktach, jeśli układ równań składający się z równań prostej i paraboli ma dwa rozwiązania
Zauważ, że możesz po prostu podstawić y z drugiego równania do pierwszego (czyli de facto przyrównać do siebie obie strony tych równań)
Otrzymałeś równanie kwadratowe. Aby je rozwiązać przenieś wszystkie wyrazy na jedną stronę.
To równanie (a co za tym idzie cały układ równań) ma dwa rozwiązania tylko wtedy, gdy Δ > 0. Więc oblicz ją i porównaj do 0.
Zadanie 16.
89Zadanie 17.
90Zadanie 18.
90Zadanie 25.
98Zadanie 27.
98Zadanie 16.
103Zadanie 17.
103Zadanie 19.
103Zadanie 14.
111Zadanie 13.
114Zadanie 14.
114Zadanie 21.
131Zadanie 23.
137Zadanie 28.
138Zadanie 20.
142Zadanie 23.
148