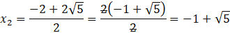
W tym zadaniu musisz określić jak odległe są od siebie punkty przecięcia prostej y = -2x + 4 z parabolą zadaną równaniem y = x2.
Punkty przecięcia prostej z parabolą to:
Odpowiedź: C. 10.
Aby obliczyć odległość między puntami przecięcia się tej prostej z parabolą musisz najpierw wyznaczyć te punkty. Aby to zrobić rozwiąż układ równań składający się z równań tej prostej i paraboli.
Zauważ, że możesz po prostu podstawić y z drugiego równania do pierwszego (czyli de facto przyrównać do siebie obie strony tych równań)
Otrzymałeś równanie kwadratowe. Aby je rozwiązać przenieś wszystkie wyrazy na jedną stronę.
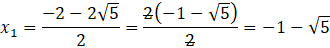
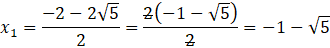
Rozwiąż je przy użyciu Δ.
Aby wyznaczyć drugie współrzędne tych punktów podstaw otrzymane x do któregokolwiek wzoru.
Więc te dwa punkty to:
Aby obliczyć odległość między tymi punktami skorzystaj ze wzoru na odległość między dwoma punktami.
Zadanie 16.
89Zadanie 17.
90Zadanie 18.
90Zadanie 25.
98Zadanie 27.
98Zadanie 16.
103Zadanie 17.
103Zadanie 19.
103Zadanie 14.
111Zadanie 13.
114Zadanie 14.
114Zadanie 21.
131Zadanie 23.
137Zadanie 28.
138Zadanie 20.
142Zadanie 23.
148