W tym zadaniu musisz określić jaka jest zależność między współczynnikami a, b i c dla funkcji kwadratowej zadanej wzorem f(x) = ax2 + bx + c, wiedząc, że współrzędne wierzchołka paraboli będącej wykresem tej funkcji wynoszą (-1, 3).
Gdzie Δ = b2 – 4ac.
Odpowiedź: B. a – c = -3
Przypomnij sobie wzory na współrzędne wierzchołka paraboli w zależności od a, b i c. Pierwsza współrzędna wyraża się wzorem:
Oczywiście pierwsza współrzędna wierzchołka tej paraboli to -1, i tyle musisz podstawić za p:
Aby otrzymać postać przypominającą odpowiedzi, wystarczy, że przemnożysz obie strony równania przez -2a (oczywiście a ≠ 0, gdyż funkcja jest kwadratowa, a z definicji w funkcji kwadratowej a musi być różne od 0)
Przypomina to odpowiedź C. jednak zauważ, że 2 stoi przy a, zamiast przy b.
W kolejnym kroku skorzystaj ze wzoru na drugą współrzędną wierzchołka paraboli. Możesz go zapisać jako:
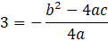
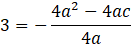
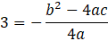
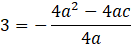
Gdzie Δ = b2 – 4ac. Podstaw drugą współrzędną wierzchołka (czyli 3) za q, oraz rozpisz wzór na deltę:
Teraz warto podstawić uzyskaną wcześniej zależność między b i a. Podstaw ją za b.
Zauważ, że z licznika można wyciągnąć 4a przed nawias, które się skróci z mianownikiem:
Zauważ, że jest to bardzo bliskie odpowiedzi B. Aby uzyskać dokładnie tę zależność przemnóż obie strony przez -1
Zadanie 16.
89Zadanie 17.
90Zadanie 18.
90Zadanie 25.
98Zadanie 27.
98Zadanie 16.
103Zadanie 17.
103Zadanie 19.
103Zadanie 14.
111Zadanie 13.
114Zadanie 14.
114Zadanie 21.
131Zadanie 23.
137Zadanie 28.
138Zadanie 20.
142Zadanie 23.
148