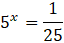
W tym zadaniu musisz ustalić jaką liczbę dostaniesz, jeśli dodasz do siebie rozwiązania równań
Odpowiedź: C. 4
Aby obliczyć sumę rozwiązań podanych równań musisz je rozwiązać. Te równania, to równania wykładnicze. Rozwiązujesz je, przez doprowadzenie wyrażeń z obu stron do potęg o tej samej podstawie. Jeżeli równanie wykładnicze składa się z sumy potęg, to musisz wyciągnąć wspólną potęgę przed nawias. Pamiętaj o podstawowych działaniach na potęgach i pierwiastkach. Jeśli mnożysz te same liczby w różnych potęgach, to dodajesz ich wykładniki i odwrotnie, jeśli masz sumę w wykładniku możesz rozbić potęgę, na iloczyn dwóch potęg. Gdy już po obu stronach będziesz mieć potęgi o tej samej podstawie musisz przyrównać do siebie wykładniki.
W drugim równaniu warto wyciągnąć 2x-5 przed nawias, bo gdy wyciągniesz 2x, to w nawiasie dostaniesz ujemną potęgę, a więc ułamek. Łatwiej jest wykonywać działania na liczbach całkowitych niż ułamkach.
Na koniec dodaj do siebie obydwa rozwiązania.
Zadanie 16.
89Zadanie 17.
90Zadanie 18.
90Zadanie 25.
98Zadanie 27.
98Zadanie 16.
103Zadanie 17.
103Zadanie 19.
103Zadanie 14.
111Zadanie 13.
114Zadanie 14.
114Zadanie 21.
131Zadanie 23.
137Zadanie 28.
138Zadanie 20.
142Zadanie 23.
148