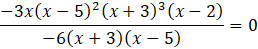
W tym zadaniu musisz określić, ile wynosi największe z rozwiązań równania
Odpowiedź: B. 2.
Aby określić, ile wynosi największe rozwiązanie podanego równania musisz po prostu je rozwiązać.
To równanie ma postać ułamka przyrównanego do 0. W takiej sytuacji możesz po prostu przyrównać licznik do 0, gdyż gdy wiesz, że ułamek wynosi 0, to na pewno jego licznik jest 0. Pamiętaj, że skoro w mianowniku jest zmienna musisz policzyć dziedzinę, gdyż musisz wykluczyć sytuację, że mianownik wynosi 0.
Ponieważ iloczyn dwóch wyrażeń musi być różny od zera, to zerami nie mogą być także żaden ze składników, gdyż wtedy iloczyn się wyzeruje
Teraz już możesz przejść do głównego równania.
Jeśli wiesz, że iloczyn wyrażeń wynosi 0, to któryś z jego składników także musi wynosić 0.
Teraz musisz określić czy otrzymane wyniki należą do dziedziny (czy jak je podstawisz do równania nie otrzymasz dzielenia przez 0)
Okazuje się, że dwa wyniki nie należą do dziedziny, więc musisz je odrzucić. Pozostały dwa rozwiązania tego równania. Oczywiście większą liczbą z tych dwóch jest 2.
Zadanie 16.
89Zadanie 17.
90Zadanie 18.
90Zadanie 25.
98Zadanie 27.
98Zadanie 16.
103Zadanie 17.
103Zadanie 19.
103Zadanie 14.
111Zadanie 13.
114Zadanie 14.
114Zadanie 21.
131Zadanie 23.
137Zadanie 28.
138Zadanie 20.
142Zadanie 23.
148