W tym zadaniu musisz wskazać prawdziwą informację na temat kąta BHG o mierze α w prostopadłościanie na ilustracji (o krawędziach podstawy długości 5 i 6 oraz wysokości 8).
Trójkąt BHG jest trójkątem prostokątnym o kącie prostym przy wierzchołku G. Jedną z przyprostokątnych tego trójkąta jest krawędź GH która ma długość 5. Drugą z przyprostokątnych jest odcinek BG, który jest jednocześnie przeciwprostokątną trójkąta prostokątnego BCG. Z twierdzenia Pitagorasa:
Odpowiedź: C.
Zauważ, że trójkąt BHG jest trójkątem prostokątnym o kącie prostym przy wierzchołku G. Jedną z przyprostokątnych tego trójkąta jest krawędź GH która ma długość 5. Drugą z przyprostokątnych jest odcinek BG, który jest jednocześnie przeciwprostokątną trójkąta prostokątnego BCG. Długość odcinka BG obliczysz z twierdzenia Pitagorasa:
Oczywiście możesz odrzucić ujemne rozwiązania, gdyż odcinek BG nie może być ujemny.
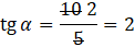
Kąt α możesz wyznaczyć przy użyciu jego tangensa. Ponieważ jest to kąt w trójkącie prostokątnym, to jego tangens to stosunek długości przyprostokątnej leżącej naprzeciwko niego (odcinek |BG|) do długości przeciwprostokątnej leżącej przy nim (odcinek |GH|).
Nie jest to wartość tangensa która podana jest w odpowiedzi D. Nie jest to także wartość tangensa kąta 30° ani 60°. Oznacza to, że prawidłowa musi być odpowiedź C. Aby się jednak upewnić, że to ta odpowiedź jest prawidłowa oblicz wartość sinusa tego kąta.
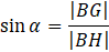
Do obliczenia wartości sinusa potrzebujesz długość przeciwprostokątnej (odcinek |BH|) oraz przyprostokątnej leżącej naprzeciwko kąta (odcinek |BG|). Długość odcinka |BH| możesz obliczyć ze wzoru na przekątną prostopadłościanu:
Sinus kąta α to w tym przypadku stosunek długości odcinka |BG| do |BH|.
Oczywiście musisz usunąć niewymierność z mianownika przez przemnożenie licznika i mianownika przez pierwiastek. Jak widzisz, otrzymałeś dokładnie taką wartość jak w odpowiedzi C.
Zadanie 16.
89Zadanie 17.
90Zadanie 18.
90Zadanie 25.
98Zadanie 27.
98Zadanie 16.
103Zadanie 17.
103Zadanie 19.
103Zadanie 14.
111Zadanie 13.
114Zadanie 14.
114Zadanie 21.
131Zadanie 23.
137Zadanie 28.
138Zadanie 20.
142Zadanie 23.
148