W tym zadaniu musisz wyznaczyć, ile wynosiły wagi w poszczególnych kategoriach w przeprowadzanym przez pewną gazetę ocenianiu restauracji. Ocena danej restauracji wylicza się przez średnią arytmetyczną punktów od 0 do 10 które otrzymała ta restauracja w każdej z kategorii. W tabeli przedstawiono wyniki dwóch restauracji.
x – waga kategorii wystrój sali
y – waga kategorii obsługa
z – waga kategorii jakość potraw
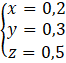
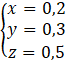
Oznacz przez x, y oraz z wagi w kategoriach odpowiednio: wystrój sali, obsługa oraz jakość potraw. Wtedy średnie ważone dla restauracji wynoszą odpowiednio:
Wykorzystaj jeszcze informację o sumie wag:
Zauważ, że skoro masz sumę x, y oraz z, możesz próbować szukać tej sumy w któryś z średnich. Okazuje się, że jeśli rozbijesz 9z w średniej restauracji Keruż na 2z + 7z a następnie wyciągniesz 2 ze składników które mają 2 przed sobą, otrzymasz właśnie sumę x + y + z.
Jeśli podstawisz otrzymaną wartość z do równania z sumą wag otrzymasz wartość sumy x + y.
Zauważ, że podobnie jak z równaniem dla restauracji Keruż możesz postąpić z równaniem dla restauracji Telmo i sumą x + y. Rozbij 8x na 4x + 4x, a następnie wyciągnij 4 z wyrażenia 4x + 4y przed nawias. W nawiasie otrzymasz sumę x + y. Nie zapomnij podstawić otrzymanej wcześniej wartości z.
Po podstawieniu do równania na sumę x + y otrzymasz wartość y.
Zadanie 16.
89Zadanie 17.
90Zadanie 18.
90Zadanie 25.
98Zadanie 27.
98Zadanie 16.
103Zadanie 17.
103Zadanie 19.
103Zadanie 14.
111Zadanie 13.
114Zadanie 14.
114Zadanie 21.
131Zadanie 23.
137Zadanie 28.
138Zadanie 20.
142Zadanie 23.
148