W tym zadaniu musisz wyznaczyć równanie prostej która zawiera w sobie punkt (1, -2) i jest prostopadła do prostej zadanej równaniem y = -2x – 4.
Współczynniki kierunkowe prostych prostopadłych spełniają zależność:
Współczynnik kierunkowy prostej podanej w treści zadania: -2.
Współczynnik kierunkowy szukanej prostej:
Równanie szukanej prostej:
Więc równanie w postaci kierunkowej szukanej prostej to:
Odpowiedź: D.
Współczynniki kierunkowe prostych prostopadłych spełniają zależność:
Współczynnik kierunkowy prostej podanej możesz odczytać wprost z równania, gdyż jest ono zapisane w postaci kierunkowej. Współczynnik ten wynosi -2. Podstawiając go do zależności między prostymi prostopadłymi do siebie otrzymasz współczynnik kierunkowy szukanej prostej.
Równanie szukanej prostej możesz zapisać jako:
Ponieważ do szukanej prostej ma należeć punkt (1, -2), to podstawiając jego pierwszą współrzędną za x, zaś drugą współrzędną za y otrzymasz prawdziwą zależność.
Więc równanie w postaci kierunkowej szukanej prostej to:
Zauważ, że każda z odpowiedzi to równanie w postaci ogólnej. Zapisz otrzymane równanie prostej w postaci ogólnej, przez przeniesienie y na jedną stronę z pozostałymi wyrazami.
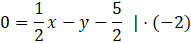
A następnie przemnóż obie strony przez 2, aby uzyskać całkowite współczynniki i by przy większości z nich stał +:
Zadanie 16.
89Zadanie 17.
90Zadanie 18.
90Zadanie 25.
98Zadanie 27.
98Zadanie 16.
103Zadanie 17.
103Zadanie 19.
103Zadanie 14.
111Zadanie 13.
114Zadanie 14.
114Zadanie 21.
131Zadanie 23.
137Zadanie 28.
138Zadanie 20.
142Zadanie 23.
148