W tym zadaniu musisz wyznaczyć jaki wzór ma funkcja f(a) = b, czyli jak od wielkości a zależy b, jeśli dla dwóch prostokątów o wymiarach a x b oraz (a – 1) x b suma ich pól wynosi 10. W tym zadaniu musisz także wyznaczyć dziedzinę i zbiór wartości tej funkcji oraz naszkicować jej wykres.
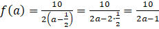
Pole pierwszego prostokąta to po prostu ab, zaś pole drugiego to (a – 1)b. Suma tych pól ma wynosić zawsze 10.
Wykresem funkcji f1(a) będzie hiperbola o asymptotach x = 0 oraz y = 0.
Na podstawie wykresu funkcji można odczytać, że zbiorem wartości funkcji f(a) jest:
Pole pierwszego prostokąta to po prostu ab, zaś pole drugiego to (a – 1)b. Suma tych pól ma wynosić zawsze 10.
Zauważ, że masz dwa składniki sumy, w których jest b. Więc możesz wyciągnąć b przed nawias.
Teraz aby uzyskać zależność b od a, wystarczy, że podzielisz obie strony przez nawias stojący przy b.
Zapisując to w postaci funkcji otrzymasz:
Gdyby to była zwykła funkcja, to jej dziedziną byłyby wszystkie liczby rzeczywiste poza tymi, które w mianowniku dają 0. Jednakże pamiętaj, że a i b to długości boków prostokątów, więc długości te nie mogą być ujemne. Ponieważ długość drugiego boku, to a – 1, to ta wartość także nie może być ujemna. Uwzględniając te informacje możesz obliczyć dziedzinę:
Zauważ, że dwie środkowe nierówności możesz zastąpić po prostu przez a > 1. Z kolei, jeśli chodzi o ostatnią nierówność, to zauważ, że jest to ułamek, którego licznik jest zawsze dodatni. Więc cały ułamek będzie dodatni jedynie, gdy mianownik będzie dodatni. Więc ostatnią nierówność możesz zastąpić przez 2a – 1 > 0.
Podsumowując te wszystkie nierówności otrzymujesz dziedzinę:
Zbiór wartości będzie łatwiej wyznaczyć dysponując wykresem.
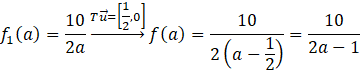
Otrzymana funkcja jest funkcją homograficzną, więc jej wykresem będzie hiperbola, a dokładniej jedno z jej ramion, gdyż dziedzina jest ograniczona. Aby ją narysować narysuj najpierw wykres funkcji
Teraz, po zaznaczeniu tych punktów, możesz narysować funkcję f1(a), a następnie przesunąć ją o wektor
Główna funkcja zaznaczona jest na zielono, funkcja f1(a) jest zaznaczona na niebiesko, czerwona przerywana linia to początek dziedziny, szara pionowa przerywana linia to asymptota funkcji f1(a), zaś czarne przerywane linie to asymptoty funkcji f(a).
Na podstawie tego wykresu funkcji możesz odczytać, że zbiorem wartości funkcji f(a) jest:
Zadanie 16.
89Zadanie 17.
90Zadanie 18.
90Zadanie 25.
98Zadanie 27.
98Zadanie 16.
103Zadanie 17.
103Zadanie 19.
103Zadanie 14.
111Zadanie 13.
114Zadanie 14.
114Zadanie 21.
131Zadanie 23.
137Zadanie 28.
138Zadanie 20.
142Zadanie 23.
148