W tym zadaniu musisz wyznaczyć pole trójkąta PDB zna podstawie podanego rysunku ostrosłupa prawidłowego czworokątnego.
Wysokością trójkąta BDP będzie bok OP (gdzie O to punkt przecięcia się przekątnych podstawy). Szukana wysokość OP będzie wysokością trójkąta OCS opuszczoną na przeciwprostokątną, czyli krawędź boczną (bok CS). Przyprostokątnymi tego trójkąta będzie połowa przekątnej podstawy (czyli bok CO) oraz wysokość (czyli OS). Bok CS ma długość 5, zaś CO ma długość
Odpowiedź: B.
Do policzenia pola trójkąta BDP będziesz potrzebował długości jednego z jego boków oraz wysokości na niego opuszczonej. Długość boku BD to przekątna podstawy, która jest kwadratem. Więc jego długość wynosi:
Wysokością tego trójkąta będzie bok OP (gdzie O to punkt przecięcia się przekątnych podstawy). Zauważ, że jeśli rozważysz trójkąt OCS, który jest trójkątem prostokątnym, to szukana wysokość OP będzie wysokością tego trójkąta opuszczoną na przeciwprostokątną, czyli krawędź boczną (bok CS). Przyprostokątnymi tego trójkąta będzie połowa przekątnej podstawy (czyli bok CO) oraz wysokość (czyli OS). Bok CS ma długość 5, zaś CO ma długość
Oczywiście możesz od razu odrzucić ujemne rozwiązanie, gdyż wysokość nie może być ujemna.
Szukana wysokość wyraża się wzorem:
(jest to użyty do trójkąta OCS wzór na wysokość opuszczoną na przeciwprostokątną, który to wzór znajdziesz w tablicach maturalnych)
Podstawiając dane otrzymasz:
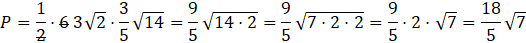
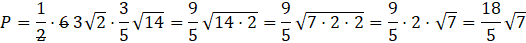
Mając te informacje możesz obliczyć pole trójkąta PDB.
Zadanie 16.
89Zadanie 17.
90Zadanie 18.
90Zadanie 25.
98Zadanie 27.
98Zadanie 16.
103Zadanie 17.
103Zadanie 19.
103Zadanie 14.
111Zadanie 13.
114Zadanie 14.
114Zadanie 21.
131Zadanie 23.
137Zadanie 28.
138Zadanie 20.
142Zadanie 23.
148