W tym zadaniu musisz obliczyć
a1 = 2
a2 =
Odpowiedź: A.
Aby obliczyć podaną sumę, musisz wyznaczyć pierwszy wyraz ciągu, iloraz oraz ile elementów ciągu sumujesz.
Pierwszy wyraz ciągu a1 to po prostu pierwszy składnik tej sumy, czyli 2.
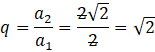
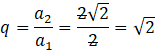
Ponieważ, każdy kolejny wyraz ciągu geometrycznego powstaje przez pomnożenie wyrazu poprzedniego przez iloraz tego ciągu, to dzieląc wyraz następny przez poprzedni otrzymasz iloraz. Wystarczy więc wyznaczyć następny wyraz a1, czyli a2, a następnie podzielić a2 przez a1. Wyraz a2 to po prostu drugi składnik tej sumy, czyli
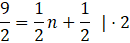
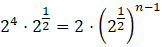
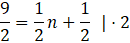
Aby obliczyć, ile wyrazów sumujesz, potrzebujesz wyznaczyć którym wyrazem jest ostatni składnik sumy, czyli
Otrzymujesz równanie wykładnicze. Zapisz wszystkie składnik w postaci potęg 2. Pamiętaj, że pierwiastek kwadratowy, to potęga o wykładniku
Pamiętaj, że mnożąc potęgi o tych samych wykładnikach, dodajesz wykładniki, zaś potęgując potęgę, mnożysz wykładniki:
Otrzymaliśmy po obu stronach 2 do pewnej potęgi, więc teraz możesz przyrównać do siebie wykładniki:
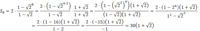
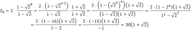
Masz już wszystkie potrzebne informacje, by obliczyć sumę z treści zadania:
Aby obliczyć tę sumę pamiętaj o podstawowych własnościach potęg i pierwiastków. Pamiętaj, że gdy w mianowniku jest wyrażenie z pierwiastkiem, musisz pomnożyć licznik i mianownik przez to samo wyrażenie tylko, że ze zmienionym znakiem między liczbą a pierwiastkiem. Robi się to w celu, aby w mianowniku uzyskać wzór skróconego mnożenia, który wyeliminuje pierwiastek z mianownika.
Zadanie 16.
89Zadanie 17.
90Zadanie 18.
90Zadanie 25.
98Zadanie 27.
98Zadanie 16.
103Zadanie 17.
103Zadanie 19.
103Zadanie 14.
111Zadanie 13.
114Zadanie 14.
114Zadanie 21.
131Zadanie 23.
137Zadanie 28.
138Zadanie 20.
142Zadanie 23.
148