W tym zadaniu musisz obliczyć dla jakiej najmniejszej ilości elementów ciągu arytmetycznego ich suma będzie większa od 100 wiedząc, że wyraz trzynasty tego ciągu wynosi 0, zaś dwudziesty trzeci to 2.
Wzór ogólny rozważanego ciągu:
Więc wzór na n-ty wyraz tego ciągu wygląda następująco:
Gdzie Sn to suma rozważanego ciągu. Wyraża się ona wzorem:
Odp.: Aby suma tego ciągu była większa od 100 należy dodać przynajmniej 47 wyrazów tego ciągu.
W pierwszej kolejności musisz wyznaczyć wzór ogólny tego ciągu. Aby to zrobić, przypomnij sobie jak wygląda wzór na n-ty wyraz ciągu arytmetycznego:
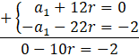
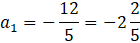
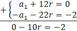
A następnie zapisz w taki sposób znane wyrazy:
Ułóż z dwóch otrzymanych wzorów układ równań:
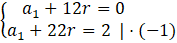
Ponieważ w obu równaniach przy a1 jest ten sam współczynnik, to najszybciej ten układ równań rozwiążesz z metody przeciwnych współczynników. Aby wykorzystać tę metodę, to przemnóż którekolwiek równanie przez -1, a następnie dodaj je stronami.
Aby uzyskać a1 podstaw otrzymany wynik do któregokolwiek z wcześniejszych równań.
Więc wzór na n-ty wyraz tego ciągu wygląda następująco:
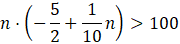
Aby policzyć powyżej ilu wyrazów tego ciągu, ich suma będzie większa od 100, musisz rozwiązać nierówność:
Gdzie Sn to suma tego ciągu. Wyraża się ona wzorem:
Podstawiając znane wartości otrzymasz:
Teraz musisz wrócić do głównej nierówności:
Wymnóż nawias i przenieś wszystkie wyrazy na lewą stronę. Aby rozwiązać tę nierówność, będziesz musiał obliczyć miejsca zerowe tej funkcji i narysować wykres.
Teraz musisz naszkicować orientacyjny wykres tej funkcji. Współczynnik a jest dodatni, więc ramiona paraboli będą zwrócone ku górze. Nie ma sensu przepisywać całych wyrażeń, które są miejscami zerowymi, a wystarczy, że opiszesz je jako n1 i n2. Ten wykres jest tylko wykresem orientacyjnym.
Ponieważ, w nierówności funkcja ma być większa od zera, to rozwiązaniem tej nierówności są te przedziały, dla których funkcja jest dodatnia. Pamiętaj, że w tym przypadku nie uwzględniasz miejsc zerowych.
Musisz uwzględnić, że n to numer indeksu, więc jest to liczba naturalna. Więc wszystkie liczby naturalne które spełniają tę nierówność to:
Zadanie 16.
89Zadanie 17.
90Zadanie 18.
90Zadanie 25.
98Zadanie 27.
98Zadanie 16.
103Zadanie 17.
103Zadanie 19.
103Zadanie 14.
111Zadanie 13.
114Zadanie 14.
114Zadanie 21.
131Zadanie 23.
137Zadanie 28.
138Zadanie 20.
142Zadanie 23.
148