W tym zadaniu musisz wyznaczyć jakim równaniem będzie opisana prosta będąca symetryczną do prostej x – 3y + 6 = 0 względem początku układu współrzędnych.
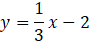
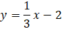
Podane równanie w postaci kierunkowej:
Każdy punkt na prostej w symetrii do tej prostej względem punktu będącego początkiem układu współrzędnych będzie symetryczny względem początku układu współrzędnych do analogicznych punktów na prostej „wzorcowej”.
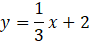
Punkt przecięcia się prostej „wzorcowej” z osią OY:
Więc ten punkt ma współrzędne (0, 2). Punkt, który jest symetryczny względem początku układu współrzędnych to (0, -2) i ten punkt należy do szukanej prostej.
Punkt przecięcia się z osią OX:
Więc ten punkt ma współrzędne (-6, 0). Punkt, który jest symetryczny względem początku układu współrzędnych to (6, 0) i ten punkt należy do szukanej prostej.
Więc równanie szukanej prostej będzie miało postać:
Więc równanie szukanej prostej to:
Równanie szukanej prostej w postaci ogólnej to:
Zapisz podane równanie w postaci kierunkowej przez przeniesienie wyrazu z y na drugą stronę
Oraz podziel obie strony przez 3:
Każdy punkt na prostej w symetrii do tej prostej względem punktu będącego początkiem układu współrzędnych będzie symetryczny względem początku układu współrzędnych do analogicznych punktów na prostej „wzorcowej”.
Symetria punktu względem początku układu współrzędnych, powoduje zmianę znaku współrzędnych punktu na przeciwne.
Dla uproszczenia obliczeń warto użyć punktów przecięcia się prostej „wzorcowej” z osiami OY oraz OX.
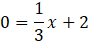
Punkt przecięcia się prostej „wzorcowej” z osią OY ma pierwszą współrzędną wynoszącą 0, zaś aby obliczyć drugą współrzędną wystarczy, że podstawisz x = 0 do równania prostej:
Więc ten punkt ma współrzędne (0, 2). Punkt, który jest symetryczny względem początku układu współrzędnych to (0, -2) i ten punkt należy do szukanej prostej.
Punkt przecięcia się z osią OX ma drugą współrzędną równą 0. Aby obliczyć pierwszą wystarczy, że przyrównasz równanie do 0.
Więc ten punkt ma współrzędne (-6, 0). Punkt, który jest symetryczny względem początku układu współrzędnych to (6, 0) i ten punkt należy do szukanej prostej.
Aby wyznaczyć współczynnik kierunkowy szukanej prostej skorzystaj ze wzoru na współczynnik kierunkowy prostej przechodzącej przez dwa punkty:
Więc równanie szukanej prostej będzie miało postać:
Aby wyznaczyć b musisz podstawić współrzędne któregoś z dwóch wyznaczonych punktów. Użyj punktu (0, -2).
Więc równanie szukanej prostej to:
Aby uzyskać równanie ogólne przenieś y na drugą stronę.
Oraz pozbądź się ułamka przez przemnożenie przez 3.
Zadanie 16.
89Zadanie 17.
90Zadanie 18.
90Zadanie 25.
98Zadanie 27.
98Zadanie 16.
103Zadanie 17.
103Zadanie 19.
103Zadanie 14.
111Zadanie 13.
114Zadanie 14.
114Zadanie 21.
131Zadanie 23.
137Zadanie 28.
138Zadanie 20.
142Zadanie 23.
148