W tym zadaniu musisz obliczyć pole trójkąta, którego wierzchołki to wierzchołek paraboli zadanej równaniem y = -2(x + 1)(x – 5) oraz punkty przecięcia się tej paraboli z osią OX.
Odpowiedź: D. 54.
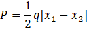
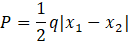
Zauważ, że jeden bok tego trójkąta będzie znajdował się na osi OX układu współrzędnych. Zauważ także, że dwoma wierzchołkami, które znajdują się na tym boku są miejsca zerowe funkcji, która opisuje parabolę z zadania. Oznacza to, że rozważany trójkąt jest trójkątem równoramiennym, gdyż pierwsza współrzędna wierzchołka paraboli leży dokładnie pomiędzy dwoma miejscami zerowymi, które to są wierzchołkami tego trójkąta. Co więcej, długość wysokości tego trójkąta to odległość wierzchołka od osi OX, czyli po prostu druga współrzędna wierzchołka, czyli współczynnik q. Długość podstawy tego trójkąta to długość odcinka między dwoma miejscami zerowymi, czyli |x1 – x2|. Więc pole szukanego trójkąta można zapisać jako:
Wzór paraboli z zadania jest podany w postaci iloczynowej, więc miejsca zerowe możesz od razu odczytać i wynoszą one: x1 = -1 oraz x2 = 5 (pamiętaj o zmianie znaku na przeciwny).
Z kolei, aby obliczyć q skorzystasz ze wzoru:
Gdzie f to funkcja zadana wzorem rozważanej paraboli.
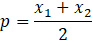
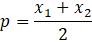
Z kolei współczynnik p jest wyrażony wzorem:
Więc podstawiając odczytane ze wzoru miejsca zerowe otrzymasz:
Więc q wynosi:
Podstawiając do szybciej uzyskanego wzoru na szukane pole trójkąta otrzymasz:
Zadanie 16.
89Zadanie 17.
90Zadanie 18.
90Zadanie 25.
98Zadanie 27.
98Zadanie 16.
103Zadanie 17.
103Zadanie 19.
103Zadanie 14.
111Zadanie 13.
114Zadanie 14.
114Zadanie 21.
131Zadanie 23.
137Zadanie 28.
138Zadanie 20.
142Zadanie 23.
148