W tym zadaniu musisz dodać do siebie wszystkie rozwiązania równań
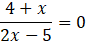
Pierwsze równanie
Drugie równanie
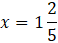
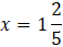
Suma rozwiązań tych dwóch równań:
Odpowiedź: C.
Aby określić, ile wynosi suma rozwiązań tych równań musisz po prostu je rozwiązać i te rozwiązania dodać do siebie.
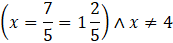
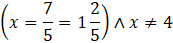
Pierwsze równanie ma postać ułamka przyrównanego do 0. W takiej sytuacji możesz po prostu przyrównać licznik do 0, gdyż gdy wiesz, że ułamek wynosi 0, to na pewno jego licznik jest 0. Pamiętaj, że skoro w mianowniku jest zmienna musisz policzyć dziedzinę, gdyż musisz wykluczyć sytuację, że mianownik wynosi 0.
Teraz już możesz przejść do głównego równania.
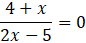
Z kolei w drugim równaniu masz pewien ułamek przyrównany do liczby. Oczywiście także musisz policzyć dziedzinę. Gdy już to zrobisz możesz przemnożyć obie strony przez mianownik, aby pozbyć się ułamka. Otrzymasz wtedy zwykłe równanie z x, które musisz rozwiązać.
Główne równanie:
Mające te dwa rozwiązania możesz obliczyć ich sumę
Zadanie 16.
89Zadanie 17.
90Zadanie 18.
90Zadanie 25.
98Zadanie 27.
98Zadanie 16.
103Zadanie 17.
103Zadanie 19.
103Zadanie 14.
111Zadanie 13.
114Zadanie 14.
114Zadanie 21.
131Zadanie 23.
137Zadanie 28.
138Zadanie 20.
142Zadanie 23.
148