W tym zadaniu musisz wyznaczyć objętość stożka utworzonego przez zwinięcie wycinku koła, którego promień wynosi 7, zaś kąt środkowy to 135°.
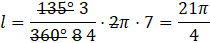
Długość łuku wycinka kołowego:
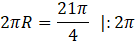
Jest to obwód podstawy:
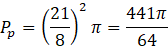
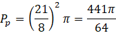
Pole podstawy:
Wysokość stożka wraz z promieniem podstawy oraz długością tworzącej tworzą trójkąt prostokątny. Długość tworzącej to długość promienia wycinka koła, z którego utworzono ten stożek, czyli 7.
Do obliczenia objętości stożka potrzebujesz pola powierzchni jego podstawy oraz wysokości.
Po zwinięciu wycinka kołowego do stożka, długość łuku tego wycinku staje się długością obwodu podstawy. Wyznacz więc najpierw długość łuku otrzymanego wycinka kołowego. W tym celu skorzystaj z odpowiedniego wzoru.
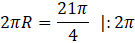
Jest to obwód podstawy. Przyrównaj otrzymany wynik do wzoru na długość obwodu koła, które jest podstawą tego stożka.
Wyznacz z tego równania R przez podzielenie obu stron przez 2π.
Pole podstawy możesz obliczyć ze wzoru na pole okręgu:
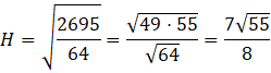
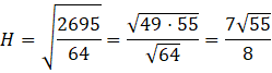
Zauważ, że wysokość stożka wraz z promieniem podstawy oraz długością tworzącej tworzą trójkąt prostokątny. Długość tworzącej to długość promienia wycinka koła, z którego utworzono ten stożek, czyli 7. Przyprostokątnymi w tym trójkącie są wysokość oraz promień podstawy, zaś długość tworzącej to przeciwprostokątna w tym trójkącie. Do obliczenia wysokości użyj twierdzenia Pitagorasa.
Aby obliczyć wysokość musisz odjąć od liczby ułamek. W tym celu sprowadź tę liczbę do wspólnego mianownika. W kolejnym kroku spierwiastkuj obie strony. Ponieważ wysokość nie może być ujemna odrzuć od razu ujemny przypadek.
Teraz możesz skorzystać ze wzoru na objętość stożka.
Zadanie 16.
89Zadanie 17.
90Zadanie 18.
90Zadanie 25.
98Zadanie 27.
98Zadanie 16.
103Zadanie 17.
103Zadanie 19.
103Zadanie 14.
111Zadanie 13.
114Zadanie 14.
114Zadanie 21.
131Zadanie 23.
137Zadanie 28.
138Zadanie 20.
142Zadanie 23.
148