W tym zadaniu musisz obliczyć wartość funkcji kwadratowej dla argumentu wynoszącego -6, jeśli wierzchołek paraboli będącej wykresem tej funkcji ma współrzędne (-3, 2), oraz parabola ta przecina oś OY w punkcie (0, -1).
Odpowiedź: B. -1.
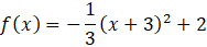
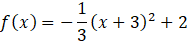
Jeśli znasz współrzędne wierzchołka paraboli będącej wykresem funkcji kwadratowej, to możesz zapisać wzór tej funkcji w postaci kanonicznej. Współczynniki p i q we wzorze postaci kanonicznej to kolejno pierwsza i druga współrzędna wierzchołka paraboli. Więc rozważana funkcja ma wzór:
Ponieważ, aby obliczyć jej wartość dla x = -6, musisz znać kompletny wzór, potrzebujesz wyznaczyć współczynnik a. Aby to zrobić wykorzystaj informację o punkcie przecięcia się wykresu funkcji z osią OY.
Ze współrzędnych tego punktu możesz odczytać, że funkcja osiąga wartość 1 dla argumentu x = 0, co możesz zapisać:
Podstawiając wyżej otrzymany wzór otrzymasz:
Więc kompletny wzór na tę funkcję jest postaci:
Aby obliczyć wartość tej funkcji dla x = -6 wystarczy, że podstawisz za x wartość -6.
Zadanie 16.
89Zadanie 17.
90Zadanie 18.
90Zadanie 25.
98Zadanie 27.
98Zadanie 16.
103Zadanie 17.
103Zadanie 19.
103Zadanie 14.
111Zadanie 13.
114Zadanie 14.
114Zadanie 21.
131Zadanie 23.
137Zadanie 28.
138Zadanie 20.
142Zadanie 23.
148