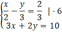
W tym zadaniu musisz obliczyć sumę rozwiązań układu równań
Odpowiedź: B.
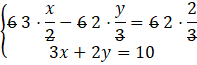
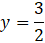
Aby obliczyć sumę rozwiązań tego układu równań musisz go po prostu rozwiązać. Dla ułatwienia obliczeń, aby pozbyć się ułamków z pierwszego równania, pomnóż je przez 6 (bo 6 to wielokrotność zarówno 2 jak i 3, które występują w mianownikach).
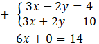
Zauważ, że w obydwu równaniach przy y stoją te same liczby, tylko z przeciwnymi znakami. Najszybszą w tej sytuacji metodą będzie metoda przeciwnych współczynników. Możesz od razu dodać równania stronami.
Otrzymujesz proste równanie z x. Gdy je rozwiążesz, podstaw wynik do dowolnego równania.
Po rozwiązaniu równania tym razem z y otrzymasz jego wartość. Na samym końcu musisz dodać do siebie obydwie liczby spełniające ten układ równań, czyli x i y.
Zadanie 16.
89Zadanie 17.
90Zadanie 18.
90Zadanie 25.
98Zadanie 27.
98Zadanie 16.
103Zadanie 17.
103Zadanie 19.
103Zadanie 14.
111Zadanie 13.
114Zadanie 14.
114Zadanie 21.
131Zadanie 23.
137Zadanie 28.
138Zadanie 20.
142Zadanie 23.
148