W tym zadaniu musisz obliczyć, ile musi wynosić parametr m, aby funkcje f(x) = mx + m +5 oraz g(x) = 2x – 5 miały miejsce zerowe w tym samym punkcie.
Odpowiedź: A. dla
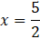
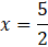
Zauważ, że funkcja g(x) nie zawiera szukanego parametru, a więc jest wyznaczona jednoznacznie. Musisz więc obliczyć jej miejsce zerowe. Robisz to przez przyrównanie jej do 0.
Więc funkcja f(x) musi mieć miejsce zerowe dla
Gdy podstawisz ten argument do wzoru na f(x) oraz przyrównasz go do 0 otrzymasz równanie z m, którego rozwiązanie da ci odpowiedź.
Zadanie 16.
89Zadanie 17.
90Zadanie 18.
90Zadanie 25.
98Zadanie 27.
98Zadanie 16.
103Zadanie 17.
103Zadanie 19.
103Zadanie 14.
111Zadanie 13.
114Zadanie 14.
114Zadanie 21.
131Zadanie 23.
137Zadanie 28.
138Zadanie 20.
142Zadanie 23.
148