W tym zadaniu określić który wzór spośród podanych jest wzorem ogólnym ciągu an zadanego wzorem rekurencyjnym an+1 = an + n + 1, gdzie a1 = 1.
A.
B.
C.
D.
Odpowiedź: C.
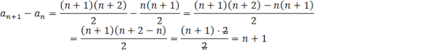
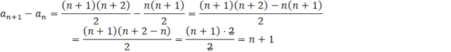
Aby określić który z podanych wzorów, jest wzorem ogólnym ciągu opisanego w treści zadania, najpierw wyznacz, ile wynosi różnica an+1 – an na podstawie wzoru rekurencyjnego:
Następnie musisz wyznaczyć wyraz an+1 każdego z podanych wzorów i obliczyć różnicę an+1 – an. Jeśli ta różnica wyniesie tyle samo co ze wzoru rekurencyjnego, to oznacza, że jest to wzór ogólny ciągu z treści zadania.
E.
F.
H.
Zadanie 16.
89Zadanie 17.
90Zadanie 18.
90Zadanie 25.
98Zadanie 27.
98Zadanie 16.
103Zadanie 17.
103Zadanie 19.
103Zadanie 14.
111Zadanie 13.
114Zadanie 14.
114Zadanie 21.
131Zadanie 23.
137Zadanie 28.
138Zadanie 20.
142Zadanie 23.
148