W tym zadaniu musisz obliczyć dla jakiego argumentu wyrażenie f(x) – g(x) osiąga największą wartość, jeśli funkcje f i g wyrażone są wzorami:
Niech:
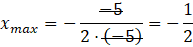
Ponieważ współczynnik a jest ujemny, to funkcja h osiąga największą wartość w wierzchołku. Argument, dla którego osiąga największą wartość to:
I dokładnie dla tego argumentu wyrażenie f(x) – g(x) osiąga największą wartość.
Możesz zdefiniować nową funkcję h(x) = f(x) – g(x) a następnie zbadać, kiedy ta funkcja osiąga największą wartość. Aby napisać wzór tej funkcji podstaw za f(x) i g(x) odpowiednie wzory:
Dostałeś funkcję kwadratową w postaci ogólnej. Zauważ, że współczynnik a jest ujemny, co oznacza, że parabola ma ramiona w dół, więc największą wartość osiąga w wierzchołku. Argument, dla którego funkcja osiąga wierzchołek to po prostu p. Więc aby obliczyć p wystarczy, że skorzystasz ze wzoru na p:
Z postaci ogólnej możesz odczytać, że a = – 5 i b = -5.
I dokładnie dla tego argumentu wyrażenie f(x) – g(x) osiąga największą wartość.
Zadanie 16.
89Zadanie 17.
90Zadanie 18.
90Zadanie 25.
98Zadanie 27.
98Zadanie 16.
103Zadanie 17.
103Zadanie 19.
103Zadanie 14.
111Zadanie 13.
114Zadanie 14.
114Zadanie 21.
131Zadanie 23.
137Zadanie 28.
138Zadanie 20.
142Zadanie 23.
148