W tym zadaniu musisz określić, ile powinny wynosić współczynniki a i b w wielomianie U(x) = ax2 + bx, tak by wielomiany U(x) – V(x) oraz U(x) ∙ W(x) były sobie równe. Wielomian V(x) zadany jest wzorem 2x3 – 11x2 + 12x, zaś wielomian W(x) = x – 3.
Wielomiany U(x) – V(x) oraz U(x) ∙ W(x) będą sobie równe tylko wtedy, gdy ich stopnie będą równe (co jest spełnione, bo w obu wielomianach najwyższą potęgą x jest 3) oraz gdy współczynniki przy odpowiednich potęgach x będą takie same.
Odp. Wielomiany U(x) – V(x) oraz U(x) ∙ W(x) są sobie równe dla a = -2 oraz b = 3.
Najpierw warto zapisać wielomiany U(x) – V(x) oraz U(x) ∙ W(x).
Warto uporządkować ten wielomian i współczynniki przy tych samych potęgach zapisać w jednym nawiasie (tak jakby wyciągnąć x w odpowiedniej potędze z tych składników które je zawierają)
Podobnie jak wcześniej warto sobie uporządkować ten wielomian
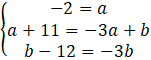
Wielomiany U(x) – V(x) oraz U(x) ∙ W(x) będą sobie równe tylko wtedy, gdy ich stopnie będą równe (co jest spełnione, bo w obu wielomianach najwyższą potęgą x jest 3) oraz gdy współczynniki przy odpowiednich potęgach x będą takie same. Więc musisz przyrównać do siebie współczynniki przy odpowiednich potęgach x w obu wielomianach.
Już z przyrównania współczynników stojących przy trzeciej potędze x otrzymujesz wartość a. Z kolei przyrównanie współczynników stojących przy x w pierwszej potędze daje proste równanie z b. Zauważ, że nie ma potrzeby korzystać ze środkowego równania, gdyż o wiele łatwiej jest skorzystać z pozostałych. Rozwiązując trzecie równanie otrzymujesz:
Zadanie 16.
89Zadanie 17.
90Zadanie 18.
90Zadanie 25.
98Zadanie 27.
98Zadanie 16.
103Zadanie 17.
103Zadanie 19.
103Zadanie 14.
111Zadanie 13.
114Zadanie 14.
114Zadanie 21.
131Zadanie 23.
137Zadanie 28.
138Zadanie 20.
142Zadanie 23.
148