W tym zadaniu musisz udowodnić, że suma półokręgów, których średnicami są dwa boki trójkąta jest dłuższa od półokręgu, którego średnicą jest trzeci – najdłuższy bok.
a, b – długości krótszych boków
c – długość dłuższego boku.
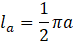
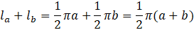
Długość półokręgu opartego na boku a:
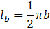
Długość półokręgu opartego na boku b:
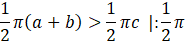
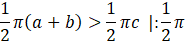
Suma tych dwóch długości to:
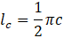
Długość półokręgu opartego na boku c:
Do udowodnienia jest:
Jest to nierówność trójkąta, która zawsze zachodzi. A ponieważ wszystkie przekształcenia były równoważne, więc wyjściowa nierówność jest prawdziwa, co kończy dowód.
Oznacz jako a i b dwa krótsze boki tego trójkąta, zaś jako c – najdłuższy bok trójkąta.
Długość półokręgu wyraża się wzorem:
Średnicami poszczególnych okręgów są boki trójkąta.
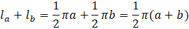
Długość półokręgu opartego na boku a:
Długość półokręgu opartego na boku b:
Suma tych dwóch długości to:
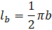
Długość półokręgu opartego na boku c:
Masz udowodnić, że suma la + lb jest większa od lc, co możesz zapisać jako:
Podstawiając otrzymasz:
Możesz skrócić powtarzające się wyrazy z obu stron, dzieląc przez powtarzający się wyraz.
Otrzymałeś nierówność tego trójkąta, która jest zawsze prawdziwa. Co oznacza, że nierówność, od której wyszedłeś jest prawdziwa, co kończy dowód.
Zadanie 16.
89Zadanie 17.
90Zadanie 18.
90Zadanie 25.
98Zadanie 27.
98Zadanie 16.
103Zadanie 17.
103Zadanie 19.
103Zadanie 14.
111Zadanie 13.
114Zadanie 14.
114Zadanie 21.
131Zadanie 23.
137Zadanie 28.
138Zadanie 20.
142Zadanie 23.
148