W tym zadaniu musisz obliczyć iloczyn rozwiązań równania |5x| = |5 – 3x|.
Odpowiedź: C.
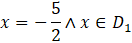
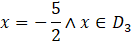
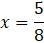
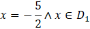
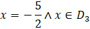
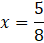
Aby obliczyć iloczyn rozwiązań tego równania musisz po prostu je rozwiązać. Ponieważ niewiadome występują pod różnymi wartościami bezwzględnymi musisz rozważyć różne przypadki. Dobrze jest sobie narysować oś liczbową i zaznaczyć te przypadki (dziedziny). Aby określić te przypadki zastanów się dla jakich x wartości bezwzględne się zerują. Ponieważ są dwie wartości bezwzględne, to otrzymasz dwa miejsca zerowe, które podzielą nam oś liczbową na trzy dziedziny. Jeśli chodzi o krańce przedziałów, to ich układ jest dowolny, ważne jest by każdy kraniec był gdzieś uwzględniony.
W każdej z dziedzin zastanawiasz się czy zawartość poszczególnych wartości bezwzględnych jest dodatnia czy ujemna. Jeśli jest dodatnia to możesz opuścić moduł bez zmian, natomiast jeśli jest ujemna to zgodnie z definicją musisz dopisać minus. Dalej otrzymujesz standardowe równania liniowe, które rozwiązujesz przez przeniesienie niewiadomych na jedną stronę, zaś liczb na drugą. Gdy otrzymasz już rozwiązanie, musisz sprawdzić, czy należy do rozważanej dziedziny. Jeśli tak, to jest to rozwiązanie, natomiast jeśli nie, musisz je odrzucić.
Na koniec przemnóż przez siebie uzyskane rozwiązania.
Zadanie 16.
89Zadanie 17.
90Zadanie 18.
90Zadanie 25.
98Zadanie 27.
98Zadanie 16.
103Zadanie 17.
103Zadanie 19.
103Zadanie 14.
111Zadanie 13.
114Zadanie 14.
114Zadanie 21.
131Zadanie 23.
137Zadanie 28.
138Zadanie 20.
142Zadanie 23.
148