W tym zadaniu musisz obliczyć liczbę uczniów po zwiększeniu się o 20%, a następnie ich liczbę po zmniejszeniu się o 10%.
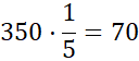
Wrzesień:
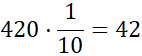
Styczeń:
Odpowiedź: Pod koniec stycznia w szkole uczyło się 378 uczniów.
Na początek zamień 20% na ułamek. Następnie pomnóż liczbę uczniów w poprzednim roku. Do liczby 350 dodaj wynik mnożenia. Kolejny krok wygląda podobnie: zapisz 10% jako ułamek i pomnóż go przez liczbę uczniów z września. Od liczby 420 odejmij wynik mnożenia – otrzymasz liczbę uczniów pod koniec stycznia.
Ćwiczenie 1
220Ćwiczenie 2
220Ćwiczenie 3
220Ćwiczenie 4
220Zadanie 1
220Zadanie 2
220Zadanie 3
220Zadanie 4
220Zadanie 5
221Zadanie 6
221Zadanie Zadanie sprawdzające1
221Zadanie Zadanie sprawdzające2
221Zadanie 3
222Zadanie 4
222Zadanie Zadanie sprawdzające1
222Zadanie 1
223Zadanie 5
224Zadanie Zadanie sprawdzające1
224Ćwiczenie 2
225Zadanie 3
225Zadanie 1
228Zadanie 2
228Zadanie 4
228Zadanie 5
228Zadanie Zadanie sprawdzające1
228Zadanie Zadanie sprawdzające2
228Zadanie 5
230Zadanie 6
231Zadanie 8
231Zadanie 10
231Zadanie 11
232