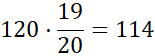
W tym zadaniu musisz odczytać z wykresu potrzebne dane i obliczyć procent liczby 120.
Oceny pozytywne:
Odpowiedź: Ocenę pozytywną uzyskało 114 osób.
Odczytaj z wykresu, ile procent uczniów otrzymało oceny pozytywne i dodaj do siebie te wyniki. Zamień sumę na ułamek. Pomnóż liczbę wszystkich uczniów przez ten ułamek.
Ćwiczenie 1
220Ćwiczenie 2
220Ćwiczenie 3
220Ćwiczenie 4
220Zadanie 1
220Zadanie 2
220Zadanie 3
220Zadanie 4
220Zadanie 5
221Zadanie 6
221Zadanie Zadanie sprawdzające1
221Zadanie Zadanie sprawdzające2
221Zadanie 3
222Zadanie 4
222Zadanie Zadanie sprawdzające1
222Zadanie 1
223Zadanie 5
224Zadanie Zadanie sprawdzające1
224Ćwiczenie 2
225Zadanie 3
225Zadanie 1
228Zadanie 2
228Zadanie 4
228Zadanie 5
228Zadanie Zadanie sprawdzające1
228Zadanie Zadanie sprawdzające2
228Zadanie 5
230Zadanie 6
231Zadanie 8
231Zadanie 10
231Zadanie 11
232