Skul.pl
  • Opracowania zadań z podręczników
  • Prosto do matury. Klasa 4. Podręcznik. Zakres podstawowy - rozwiązania i odpowiedzi
  • Zadanie 1.2.

Prosto do matury. Klasa 4. Podręcznik. Zakres podstawowy - rozwiązania i odpowiedzi

Podręcznik, Wydawnictwo: Nowa Era
Poprzednie

Zadanie 1.2. - strona 100

Następne

Zadanie

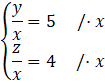
Masz wykazać, że , jeśli i .

Rozwiązanie

Skul

Wyjaśnienie

Najpierw przekształcasz sobie podane zależności tak, aby uzyskać miary katów zależne od kąta . Następnie musisz wiedzieć, że suma kątów w trójkącie wynosi , zatem suma tych kątów musi dać kąt półpełny. W równaniu podkładasz wyznaczone wartości oraz i rozwiązujesz je. Znając wartość kąta , wracasz do układu równań i wyznaczasz oraz .

Poprzednie
Następne

Matematyka - wybrane pytania

Zadanie zamknięte 9, strona 122, Matematyka wokół nas. Klasa 5. Zbiór zadań – rozwiązania i odpowiedzi
Zadanie 19, strona 176, Matematyka wokół nas. Klasa 6. Podręcznik – rozwiązania i odpowiedzi
Zadanie 2., strona 56, Matematyka wokół nas. Klasa 7. Podręcznik - rozwiązania i odpowiedzi
Zadanie 6.27., strona 147, Matematyka 4. Klasa 4. Zbiór zadań. Zakres rozszerzony - rozwiązania i odpowiedzi
Zadanie 21, strona 140, Matematyka. Klasa 5. Podręcznik - rozwiązania i odpowiedzi
Zadanie 17., strona 165, MATeMAtyka. Klasa 3. Podręcznik. Zakres podstawowy - rozwiązania i odpowiedzi
Ćwiczenie 4., strona 28, Matematyka z plusem. Klasa 6. Podręcznik - rozwiązania i odpowiedzi
Zadanie 14, strona 63, Matematyka wokół nas. Klasa 4. Podręcznik - rozwiązania i odpowiedzi
Zadanie 36., strona 82, Matematyka z plusem. Klasa 4. Zbiór zadań - rozwiązania i odpowiedzi
Zadanie 4, strona 60, Matematyka z plusem. Klasa 2. Podręcznik. Zakres podstawowy - rozwiązania i odpowiedzi
REKLAMA
Skul
Zadania z tego działu
2. Dowody w matematyce
94
2.1. Dowody w geometrii
94

Zadanie 1.1.

100

Zadanie 1.2.

100

Zadanie 1.3.

101

Zadanie 1.4.

101

Zadanie 1.5.

101

Zadanie 1.6.

101

Zadanie 1.7.

101

Zadanie 1.8.

101

Zadanie 1.9.

101

Zadanie 1.10.

101

Zadanie 1.11.

101

Zadanie 1.12.

102

Zadanie 1.13.

102

Zadanie 1.14.

102

Zadanie 1.15.

102

Zadanie 1.16.

102

Zadanie 1.17.

102

Zadanie 1.18.

102

Zadanie 1.19.

102

Podpunkt a)

102

Podpunkt b)

102

Zadanie 1.20.

102

Zadanie 1.21.

103

Podpunkt a)

103

Podpunkt b)

103

Zadanie 1.22.

103

Zadanie 1.23.

103

Zadanie 1.24.

103

Zadanie 1.25.

103

Zadanie 1.26.

103

Zadanie 1.27.

103

Podpunkt a)

103

Podpunkt b)

103

Zadanie 1.28.

103

Zadanie 1.29.

103
2.2. Dowody w algebrze
106

Zadanie 2.1.

113

Zadanie 2.2.

113

Zadanie 2.3.

113

Zadanie 2.4.

113

Zadanie 2.5.

113

Zadanie 2.6.

113

Zadanie 2.7.

113

Zadanie 2.8.

113

Zadanie 2.9.

113

Zadanie 2.10.

113

Zadanie 2.11.

113

Zadanie 2.12.

113

Zadanie 2.13.

113

Zadanie 2.14.

114

Zadanie 2.15.

114

Zadanie 2.16.

114

Zadanie 2.17

114

Zadanie 2.18.

114

Zadanie 2.19.

114

Zadanie 2.20.

114

Zadanie 2.21.

114

Zadanie 2.22.

114

Zadanie 2.23.

114

Zadanie 2.24.

114

Zadanie 2.25.

114

Zadanie 2.26.

114

Zadanie 2.27.

114

Zadanie 2.28.

114

Zadanie 2.29.

114

Zadanie 2.30.

114
Pełny spis treści
Skul
Artboard 1
Skul.pl
  • Napisz do nas
  • FAQ
  • Mapa Serwisu
  • Google Play
  • App Store

Korzystanie z portalu oznacza akceptację Regulaminu.
Polityka prywatności. Ustawienia preferencji. Copyright: INTERIA.PL 1999-2023 Wszystkie prawa zastrzeżone.