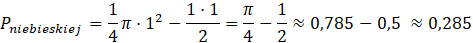
W tym zadaniu wykorzystujesz wzór na pole fragmentu koła oraz pole trójkąta. Pole figury szarej to fragment pole koła – uwzględniasz tutaj zaznaczony kąt. Aby wyznaczyć pole powierzchni niebieskiej, musisz najpierw obliczyć pole ćwiartki koła, a następnie odjąć od niego pole trójkąta prostokątnego, który nie należy do figury.