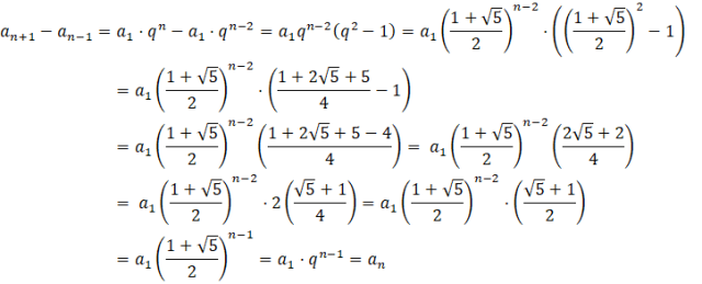
Masz w tym zadaniu udowodnić, że w ciągu geometrycznym o ilorazie każdy wyraz , 𝑛⩾ 2, jest równy różnicy dwóch sąsiadujących z nim wyrazów.
Rozwiązanie
Sprawdzenie, czy następująca równość jest prawdziwa:
Wyjaśnienie
Zadanie rozwiązujesz, korzystając z własności ciągów oraz działań na potęgach. Jeśli masz wyraz , to sąsiadujące z nim wyrazy to: oraz . Z własności ciągu geometrycznego wiadomo, że . Tutaj masz udowodnić, że tą samą wartość uzyskasz odejmując od siebie sąsiednie wyrazy danego ciągu. Zapisujesz więc lewą stronę równania, uwzględniając iloraz ciągu, czyli zapisując oraz . Podkładasz pod jego konkretną wartość i wykonujesz działania na potęgach oraz wykorzystujesz wzór skróconego mnożenia. Po doprowadzeniu równości do prostszej postaci zauważ, że wartość uzyskana w nawiasie to iloraz ciągu, a finalny wynik to równanie wyrazu .