Skul.pl
  • Opracowania zadań z podręczników
  • Prosto do matury. Klasa 4. Podręcznik. Zakres podstawowy - rozwiązania i odpowiedzi
  • Zadanie 1.16.

Prosto do matury. Klasa 4. Podręcznik. Zakres podstawowy - rozwiązania i odpowiedzi

Podręcznik, Wydawnictwo: Nowa Era
Poprzednie

Zadanie 1.16. - strona 102

Następne

Zadanie

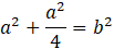
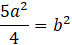
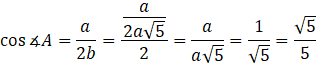
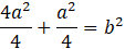
Masz udowodnić, że w trójkącie równoramiennym ABC , przy czym w trójkącie tym |𝐴𝐶| = |𝐵𝐶|, natomiast wysokość 𝐶𝐷 ma taką samą długość jak podstawa.

Rozwiązanie

zoom

Skul

Wyjaśnienie

W tym zadaniu wykorzystujesz informację, że cosinus to stosunek długości przyprostokątnej przy kącie oraz długości przeciwprostokątnej, a także twierdzenie Pitagorasa.

Poprzednie
Następne

Matematyka - wybrane pytania

Zadanie 9, strona 6, Matura z matematyki. Arkusz dodatkowy. Poziom podstawowy. Czerwiec 2022
Zadanie 37., strona 174, Matematyka. Klasa 1. Zbiór zadań. Zakres rozszerzony – rozwiązania i odpowiedzi
Zadanie 2, strona 16, Matematyka z kluczem. Klasa 8. Zeszyt ćwiczeń - rozwiązania i odpowiedzi
Zadanie 36., strona 89, Nowa teraz matura 4. Poziom rozszerzony. Zbiór zadań - rozwiązania i odpowiedzi
Zadanie 13, strona 6, Matura z matematyki. Arkusz poprawkowy. Poziom podstawowy. Sierpień 2018
Ćwiczenie 2, strona 150, Matematyka z kluczem. Klasa 5. Podręcznik. Część 1 - rozwiązania i odpowiedzi
Ćwiczenie 1., strona 90, Matematyka z plusem. Klasa 5. Zbiór zadań - rozwiązania i odpowiedzi
Zadanie 7.15., strona 82, Prosto do matury. Klasa 4. Podręcznik. Zakres podstawowy - rozwiązania i odpowiedzi
Zadanie 11, strona 67, Matematyka z kluczem. Klasa 4. Zbiór zadań – rozwiązania i odpowiedzi
Ćwiczenie 1, strona 121, Matematyka. Klasa 7. Ćwiczenia - rozwiązania i odpowiedzi.
REKLAMA
Skul
Zadania z tego działu
2. Dowody w matematyce
94
2.1. Dowody w geometrii
94

Zadanie 1.1.

100

Zadanie 1.2.

100

Zadanie 1.3.

101

Zadanie 1.4.

101

Zadanie 1.5.

101

Zadanie 1.6.

101

Zadanie 1.7.

101

Zadanie 1.8.

101

Zadanie 1.9.

101

Zadanie 1.10.

101

Zadanie 1.11.

101

Zadanie 1.12.

102

Zadanie 1.13.

102

Zadanie 1.14.

102

Zadanie 1.15.

102

Zadanie 1.16.

102

Zadanie 1.17.

102

Zadanie 1.18.

102

Zadanie 1.19.

102

Podpunkt a)

102

Podpunkt b)

102

Zadanie 1.20.

102

Zadanie 1.21.

103

Podpunkt a)

103

Podpunkt b)

103

Zadanie 1.22.

103

Zadanie 1.23.

103

Zadanie 1.24.

103

Zadanie 1.25.

103

Zadanie 1.26.

103

Zadanie 1.27.

103

Podpunkt a)

103

Podpunkt b)

103

Zadanie 1.28.

103

Zadanie 1.29.

103
2.2. Dowody w algebrze
106

Zadanie 2.1.

113

Zadanie 2.2.

113

Zadanie 2.3.

113

Zadanie 2.4.

113

Zadanie 2.5.

113

Zadanie 2.6.

113

Zadanie 2.7.

113

Zadanie 2.8.

113

Zadanie 2.9.

113

Zadanie 2.10.

113

Zadanie 2.11.

113

Zadanie 2.12.

113

Zadanie 2.13.

113

Zadanie 2.14.

114

Zadanie 2.15.

114

Zadanie 2.16.

114

Zadanie 2.17

114

Zadanie 2.18.

114

Zadanie 2.19.

114

Zadanie 2.20.

114

Zadanie 2.21.

114

Zadanie 2.22.

114

Zadanie 2.23.

114

Zadanie 2.24.

114

Zadanie 2.25.

114

Zadanie 2.26.

114

Zadanie 2.27.

114

Zadanie 2.28.

114

Zadanie 2.29.

114

Zadanie 2.30.

114
Pełny spis treści
Skul
Artboard 1
Skul.pl
  • Napisz do nas
  • FAQ
  • Mapa Serwisu
  • Google Play
  • App Store

Korzystanie z portalu oznacza akceptację Regulaminu.
Polityka prywatności. Ustawienia preferencji. Copyright: INTERIA.PL 1999-2023 Wszystkie prawa zastrzeżone.