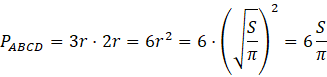
W tym zadaniu masz przedstawiony rysunek dwóch kół, a każde z nich ma pole równe zawarte jest w prostokącie. Masz pokazać, że pole prostokąta 𝐴𝐵𝐶𝐷 wynosi .
Rozwiązanie
Wyjaśnienie
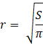
Pole prostokąta obliczasz wymnażając długości jego boków. W tym zadaniu nie podano natomiast, ile wynosi promień, jednak możesz otrzymać go w wyniku przekształcenia wzoru na pole koła, które w tym przypadku wynosi . Po wyznaczeniu promienia, oblicz pole prostokąta, uwzględniając wyznaczony promień.