Pole rombu to pole dwóch trójkątów równobocznych o długości boku
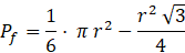
Pole jednego małego fragmentu to pole
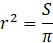
Z poprzedniego podpunktu:
Zatem:
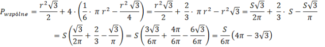
W tym zadaniu musisz uważać, aby nie pominąć żadnego istotnego fragmentu obliczeń,: musisz w nim obliczyć pole całego prostokąta, następnie odjąć pole dwóch kół, ale weź pod uwagę, że wtedy dwukrotnie odejmujesz ich wspólny fragment, zatem musisz go dodać.