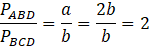
Trójkąty ABD, CBE, CED są do siebie podobne. |CE| to rzut punktu C na przekątną, który jest pod kątem prostym. |EB| = |ED|. Trójkąt ABD jest zatem dwa razy większy od CBE, CED. Oznacza to, że:
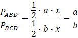
Rysujesz przedstawioną sytuację, zaznaczasz odpowiednie kąty i szukasz trójkątów podobnych. Najpierw jednak oblicz sobie pola tych trójkątów oraz oblicz stosunek tych pól. Zauważ, że trójkąty ABD, CBE, CED mają: kąt prosty, kąt α – zatem trzeci kąt każdego z nich musi mieć taką samą miarę – trójkąty te są podobne. Odcinek