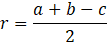
Masz podany trójkąt prostokątny, w którym: 𝑎 i 𝑏 — długości jego przyprostokątnych, 𝑐 — długość przeciwprostokątnej, 𝑟 — promień okręgu wpisanego w ten trójkąt, 𝑅 — promień okręgu opisanego na tym trójkącie. Twoim zadaniem jest udowodnienie zależności: .
Rozwiązanie
Wyjaśnienie
Tutaj musisz wiedzieć, że promień okręgu opisanego na trójkącie prostokątnym ma długość równą połowie przeciwprostokątnej tego trójkąta. Środek okręgu znajduje się dokładnie na środku przeciwprostokątnej.