Skul.pl
  • Opracowania zadań z podręczników
  • Prosto do matury. Klasa 4. Podręcznik. Zakres podstawowy - rozwiązania i odpowiedzi
  • Zadanie 2.27.

Prosto do matury. Klasa 4. Podręcznik. Zakres podstawowy - rozwiązania i odpowiedzi

Podręcznik, Wydawnictwo: Nowa Era
Poprzednie

Zadanie 2.27. - strona 114

Następne

Zadanie

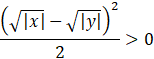
Masz wykazać, że prawdziwa jest nierówność , gdzie to dowolne liczby rzeczywiste.

Rozwiązanie

nierówność prawdziwa

Liczba dodatnia podzielona przez 2 nadal jest liczbą dodatnią, czyli nierówność jest prawdziwa.

Skul

Wyjaśnienie

Doprowadzasz nierówność do prostszej postaci, aby sprawdzić, czy jest prawdziwa.

Poprzednie
Następne

Matematyka - wybrane pytania

Zadanie 10, strona 58, MATeMAtyka 4. Zakres podstawowy i rozszerzony. Podręcznik - rozwiązania i odpowiedzi
Zadanie 18., strona 105, Matematyka. Klasa 7. Zbiór zadań – rozwiązania i odpowiedzi
Zadanie 4.14, strona 145, Prosto do matury. Klasa 3. Zakres podstawowy. Podręcznik - rozwiązania i odpowiedzi
Zadanie 9.2., strona 255, Prosto do matury. Matematyka. Klasa 1. Zakres podstawowy. Podręcznik - rozwiązania i odpowiedzi
Zadanie 13., strona 266, Matematyka. Klasa 1. Podręcznik. Zakres rozszerzony. Część 2 – rozwiązania i odpowiedzi
Zadanie 9., strona 48, Matematyka z plusem. Klasa 3. Podręcznik. Zakres rozszerzony – rozwiązania i odpowiedzi
Zadanie 21., strona 121, Matematyka. Klasa 8. Zbiór zadań - rozwiązania i odpowiedzi
Zadanie 15, strona 72, Matematyka z kluczem. Klasa 7. Podręcznik – rozwiązania i odpowiedzi
Zadanie 3, strona 112, Matematyka wokół nas. Klasa 6. Podręcznik – rozwiązania i odpowiedzi
Zadanie 18., strona 31, Matematyka z kluczem. Klasa 5. Zbiór zadań - rozwiązania i odpowiedzi
REKLAMA
Skul
Zadania z tego działu
2. Dowody w matematyce
94
2.1. Dowody w geometrii
94

Zadanie 1.1.

100

Zadanie 1.2.

100

Zadanie 1.3.

101

Zadanie 1.4.

101

Zadanie 1.5.

101

Zadanie 1.6.

101

Zadanie 1.7.

101

Zadanie 1.8.

101

Zadanie 1.9.

101

Zadanie 1.10.

101

Zadanie 1.11.

101

Zadanie 1.12.

102

Zadanie 1.13.

102

Zadanie 1.14.

102

Zadanie 1.15.

102

Zadanie 1.16.

102

Zadanie 1.17.

102

Zadanie 1.18.

102

Zadanie 1.19.

102

Podpunkt a)

102

Podpunkt b)

102

Zadanie 1.20.

102

Zadanie 1.21.

103

Podpunkt a)

103

Podpunkt b)

103

Zadanie 1.22.

103

Zadanie 1.23.

103

Zadanie 1.24.

103

Zadanie 1.25.

103

Zadanie 1.26.

103

Zadanie 1.27.

103

Podpunkt a)

103

Podpunkt b)

103

Zadanie 1.28.

103

Zadanie 1.29.

103
2.2. Dowody w algebrze
106

Zadanie 2.1.

113

Zadanie 2.2.

113

Zadanie 2.3.

113

Zadanie 2.4.

113

Zadanie 2.5.

113

Zadanie 2.6.

113

Zadanie 2.7.

113

Zadanie 2.8.

113

Zadanie 2.9.

113

Zadanie 2.10.

113

Zadanie 2.11.

113

Zadanie 2.12.

113

Zadanie 2.13.

113

Zadanie 2.14.

114

Zadanie 2.15.

114

Zadanie 2.16.

114

Zadanie 2.17

114

Zadanie 2.18.

114

Zadanie 2.19.

114

Zadanie 2.20.

114

Zadanie 2.21.

114

Zadanie 2.22.

114

Zadanie 2.23.

114

Zadanie 2.24.

114

Zadanie 2.25.

114

Zadanie 2.26.

114

Zadanie 2.27.

114

Zadanie 2.28.

114

Zadanie 2.29.

114

Zadanie 2.30.

114
Pełny spis treści
Skul
Artboard 1
Skul.pl
  • Napisz do nas
  • FAQ
  • Mapa Serwisu
  • Google Play
  • App Store

Korzystanie z portalu oznacza akceptację Regulaminu.
Polityka prywatności. Ustawienia preferencji. Copyright: INTERIA.PL 1999-2023 Wszystkie prawa zastrzeżone.