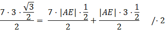
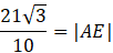
Twoim zadaniem jest wykazać, że w trójkącie 𝐴𝐵𝐶 |𝐴𝐸| = wiedząc, że |𝐴𝐵| = 7, |𝐴𝐶| = 3 oraz ∢𝐵𝐴𝐶 = 60°, a dwusieczna kąta 𝐶𝐴𝐵 przechodzi przez bok 𝐵𝐶 tego trójkąta w punkcie 𝐸.
Rozwiązanie
Wyjaśnienie
W tym zadaniu wykorzystujesz wzór na pole trójkąta z sinusem: pole trójkąta jest połową iloczynu długości dwóch boków tego trójkąta oraz sinusa kąta pomiędzy tymi bokami.