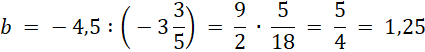
Oblicz iloraz i iloczyn liczb a i b, wskaż które działanie daje wynik o mniejszej wartości.
Iloczyn liczb a i b jest mniejszy od ilorazu liczb a i b.
Zadanie 1.
132Zadanie 3.
133Zadanie 5.
133Zadanie 8.
134Zadanie 1.
135Zadanie 6.
136Zadanie 8.
137Zadanie 9.
137Zadanie 10.
137Zadanie 11.
137Zadanie 12.
137Zadanie 13.
137Zadanie 14.
137Ćwiczenie Wyzwanie
138Ćwiczenie Ćwiczenie 3.
138Ćwiczenie Ćwiczenie 5.
138Zadanie 1.
140Zadanie 2.
140Zadanie 3.
141Zadanie 4.
141Zadanie 5.
141Zadanie 7.
142Zadanie 10.
143Zadanie 11.
143Zadanie 15.
143Ćwiczenie Wyzwanie
144Ćwiczenie Ćwiczenie 2.
144Zadanie 1.
145Zadanie 2.
146Zadanie 3.
147Zadanie 4.
147Zadanie 6.
147Zadanie 7.
148Ćwiczenie Wyzwanie
149Ćwiczenie Ćwiczenie 1.
149Ćwiczenie Ćwiczenie 3.
149Zadanie 1.
150Zadanie 5.
151Zadanie 10.
151Ćwiczenie Ćwiczenie 1.
151Zadanie 3.
153Zadanie 4.
153Zadanie 5.
153Zadanie 6.
153Zadanie 7.
153Zadanie 8.
154Zadanie 9.
154Zadanie 12.
154Zadanie 14.
153Zadanie 15.
153Zadanie 16.
155Ćwiczenie Ćwiczenie 1.
155Ćwiczenie Ćwiczenie 2.
155Zadanie 1.
156Zadanie 2.
156Zadanie 3.
157Zadanie 4.
157Zadanie 6.
158Zadanie 7.
158Zadanie 8.
158Zadanie 9.
158Zadanie 11.
158Zadanie 12.
158Zadanie 15.
158Zadanie 20.
160Ćwiczenie Wyzwanie
160Ćwiczenie Ćwiczenie 1.
160Ćwiczenie Ćwiczenie 2.
160Ćwiczenie Ćwiczenie 4.
160Zadanie 1.
161Zadanie 2.
161Zadanie 5.
161