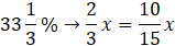
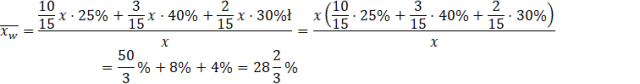
Wyznacz zysk w procentach (z przybliżeniem do części dziesiętnych) ze sprzedaży towaru, wiedząc, że trzecia jego część została sprzedana z zyskiem 25%, 20% - z zyskiem 40%, a ostatnia część z zyskiem 30%.
Średnią ważoną oblicz ze wzoru
Zadanie 2.1.
43Zadanie 2.2.
43Zadanie 2.3.
43Zadanie 2.4.
43Zadanie 2.5.
43Zadanie 2.6.
43Zadanie 2.7.
44Zadanie 2.8.
44Zadanie 2.9.
44Zadanie 2.10.
44Zadanie 2.11.
44Zadanie 2.12.
44Zadanie 2.13.
45Zadanie 2.14.
45Zadanie 2.15.
45Zadanie 2.16.
45Zadanie 2.17.
45Zadanie 2.18.
45Zadanie 2.19.
46Zadanie 2.20.
46Zadanie 2.21.
46Zadanie 2.22.
46Zadanie 2.23.
46Zadanie 2.24.
46Zadanie 2.25.
46Zadanie 2.26.
47Zadanie 2.27.
47Zadanie 2.28.
47Zadanie 2.29.
47Zadanie 2.30.
47Zadanie 2.31.
48Zadanie 2.32.
48Zadanie 2.33.
48Zadanie 2.34.
48Zadanie 2.35.
48Zadanie 2.36.
49Zadanie 2.37.
49Zadanie 2.38.
49Zadanie 2.39.
49Zadanie 2.40.
49Zadanie 2.41.
50Zadanie 2.42.
50Zadanie 2.43.
50Zadanie 2.44.
50Zadanie 2.45.
50Zadanie 2.46.
50Zadanie 2.47.
50Zadanie 2.48.
51Zadanie 2.49.
51Zadanie 2.50.
51Zadanie 2.51.
51Zadanie 2.52.
51Zadanie 2.53.
51Zadanie 2.54.
51Zadanie 2.55.
52Zadanie 2.56.
52Zadanie 2.57.
52Zadanie 2.58.
52Zadanie 2.59.
52Zadanie 2.60.
52Zadanie 2.61.
53Zadanie 2.62.
53Zadanie 2.63.
53Zadanie 2.64.
53Zadanie 2.65.
53Zadanie 2.66.
53Zadanie 2.67.
54Zadanie 2.68.
54Zadanie 2.69.
54Zadanie 2.70.
54Zadanie 2.71.
54Zadanie 2.72.
54Zadanie 2.73.
54Zadanie 2.74.
55Zadanie 2.75.
55Zadanie 2.76.
55Zadanie 2.77.
55Zadanie 2.78.
56Zadanie 2.79.
56Zadanie 2.80.
56Zadanie 2.81.
56Zadanie 2.82.
56Zadanie 2.83.
57Zadanie 2.84.
57Zadanie 2.85.
57Zadanie 2.86.
57Zadanie 2.87.
57Zadanie 2.88.
57Zadanie 2.89.
58Zadanie 2.90.
58Zadanie 2.91.
58Zadanie 2.92.
58Zadanie 2.93.
58Zadanie 2.94.
59Zadanie 2.95.
59Zadanie 2.96.
59Zadanie 2.97.
59Zadanie 2.98.
59Zadanie 2.99.
59Zadanie 2.100.
59Zadanie 2.101.
60Zadanie 2.102.
60Zadanie 2.103.
60Zadanie 2.104.
60Zadanie 2.105.
60Zadanie 2.106.
61Zadanie 2.107.
61Zadanie 2.108.
61Zadanie 2.109.
61Zadanie 2.110.
61Zadanie 2.111.
61Zadanie 2.112.
62Zadanie 2.113.
62Zadanie 2.114.
62Zadanie 2.115.
62Zadanie 2.116.
62Zadanie 2.117.
62Zadanie 2.118.
62Zadanie 2.119.
63Zadanie 2.120.
63Zadanie 2.126.
63Zadanie 2.127.
64Zadanie 2.128.
64Zadanie 2.129.
64Zadanie 2.130.
64Zadanie 2.131.
64Zadanie 2.132.
65Zadanie 2.133.
65Zadanie 2.134.
65Zadanie 2.135.
65Zadanie 2.136.
66Zadanie 2.137.
66Zadanie 2.138.
66Zadanie 2.139.
66Zadanie 2.140.
67Zadanie 2.141.
67Zadanie 2.142.
67Zadanie 2.143.
67Zadanie 2.144.
67Zadanie 2.145.
68Zadanie 2.146.
68Zadanie 2.148.
68Zadanie 2.149.
69Zadanie 2.150.
69Zadanie 2.151.
69Zadanie 2.165.
70Zadanie 2.166.
70Zadanie 2.169.
71Zadanie 2.175.
71Zadanie 2.176.
71Zadanie 2.177.
72Zadanie 2.178.
72Zadanie 2.179.
72Zadanie 2.180.
72Zadanie 2.181.
73Zadanie 2.184.
73Zadanie 16.
77Zadanie 17.
77Zadanie 19.
77Zadanie 20.
77Zadanie 21.
77Zadanie 22.
77Zadanie 23.
78Zadanie 24.
78Zadanie 26.
78Zadanie 27.
78Zadanie 28.
78Zadanie 30.
79Zadanie 41.
79