Wyznacz wiek przewodnika, wiedząc, że średni wiek 21-osobowej grupy wynosi 23 lata, a gdy doliczy się wiek przewodnik, to wzrośnie ona do 24 lat.
Przez x oznacz wiek przewodnika, a przez y – wiek grupy turystów. Wyznacz łączny wiek tej grupy (y) ze średniej, a następnie ze średniej z przewodnikiem, wyznacz jego wiek (x).
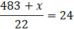
Zadanie 2.1.
43Zadanie 2.2.
43Zadanie 2.3.
43Zadanie 2.4.
43Zadanie 2.5.
43Zadanie 2.6.
43Zadanie 2.7.
44Zadanie 2.8.
44Zadanie 2.9.
44Zadanie 2.10.
44Zadanie 2.11.
44Zadanie 2.12.
44Zadanie 2.13.
45Zadanie 2.14.
45Zadanie 2.15.
45Zadanie 2.16.
45Zadanie 2.17.
45Zadanie 2.18.
45Zadanie 2.19.
46Zadanie 2.20.
46Zadanie 2.21.
46Zadanie 2.22.
46Zadanie 2.23.
46Zadanie 2.24.
46Zadanie 2.25.
46Zadanie 2.26.
47Zadanie 2.27.
47Zadanie 2.28.
47Zadanie 2.29.
47Zadanie 2.30.
47Zadanie 2.31.
48Zadanie 2.32.
48Zadanie 2.33.
48Zadanie 2.34.
48Zadanie 2.35.
48Zadanie 2.36.
49Zadanie 2.37.
49Zadanie 2.38.
49Zadanie 2.39.
49Zadanie 2.40.
49Zadanie 2.41.
50Zadanie 2.42.
50Zadanie 2.43.
50Zadanie 2.44.
50Zadanie 2.45.
50Zadanie 2.46.
50Zadanie 2.47.
50Zadanie 2.48.
51Zadanie 2.49.
51Zadanie 2.50.
51Zadanie 2.51.
51Zadanie 2.52.
51Zadanie 2.53.
51Zadanie 2.54.
51Zadanie 2.55.
52Zadanie 2.56.
52Zadanie 2.57.
52Zadanie 2.58.
52Zadanie 2.59.
52Zadanie 2.60.
52Zadanie 2.61.
53Zadanie 2.62.
53Zadanie 2.63.
53Zadanie 2.64.
53Zadanie 2.65.
53Zadanie 2.66.
53Zadanie 2.67.
54Zadanie 2.68.
54Zadanie 2.69.
54Zadanie 2.70.
54Zadanie 2.71.
54Zadanie 2.72.
54Zadanie 2.73.
54Zadanie 2.74.
55Zadanie 2.75.
55Zadanie 2.76.
55Zadanie 2.77.
55Zadanie 2.78.
56Zadanie 2.79.
56Zadanie 2.80.
56Zadanie 2.81.
56Zadanie 2.82.
56Zadanie 2.83.
57Zadanie 2.84.
57Zadanie 2.85.
57Zadanie 2.86.
57Zadanie 2.87.
57Zadanie 2.88.
57Zadanie 2.89.
58Zadanie 2.90.
58Zadanie 2.91.
58Zadanie 2.92.
58Zadanie 2.93.
58Zadanie 2.94.
59Zadanie 2.95.
59Zadanie 2.96.
59Zadanie 2.97.
59Zadanie 2.98.
59Zadanie 2.99.
59Zadanie 2.100.
59Zadanie 2.101.
60Zadanie 2.102.
60Zadanie 2.103.
60Zadanie 2.104.
60Zadanie 2.105.
60Zadanie 2.106.
61Zadanie 2.107.
61Zadanie 2.108.
61Zadanie 2.109.
61Zadanie 2.110.
61Zadanie 2.111.
61Zadanie 2.112.
62Zadanie 2.113.
62Zadanie 2.114.
62Zadanie 2.115.
62Zadanie 2.116.
62Zadanie 2.117.
62Zadanie 2.118.
62Zadanie 2.119.
63Zadanie 2.120.
63Zadanie 2.126.
63Zadanie 2.127.
64Zadanie 2.128.
64Zadanie 2.129.
64Zadanie 2.130.
64Zadanie 2.131.
64Zadanie 2.132.
65Zadanie 2.133.
65Zadanie 2.134.
65Zadanie 2.135.
65Zadanie 2.136.
66Zadanie 2.137.
66Zadanie 2.138.
66Zadanie 2.139.
66Zadanie 2.140.
67Zadanie 2.141.
67Zadanie 2.142.
67Zadanie 2.143.
67Zadanie 2.144.
67Zadanie 2.145.
68Zadanie 2.146.
68Zadanie 2.148.
68Zadanie 2.149.
69Zadanie 2.150.
69Zadanie 2.151.
69Zadanie 2.165.
70Zadanie 2.166.
70Zadanie 2.169.
71Zadanie 2.175.
71Zadanie 2.176.
71Zadanie 2.177.
72Zadanie 2.178.
72Zadanie 2.179.
72Zadanie 2.180.
72Zadanie 2.181.
73Zadanie 2.184.
73Zadanie 16.
77Zadanie 17.
77Zadanie 19.
77Zadanie 20.
77Zadanie 21.
77Zadanie 22.
77Zadanie 23.
78Zadanie 24.
78Zadanie 26.
78Zadanie 27.
78Zadanie 28.
78Zadanie 30.
79Zadanie 41.
79