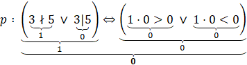
Określ prawdziwość zdania
Oceń kolejno wartość logiczną zdań składowych, a następnie zdań złożonych, wiedząc, że alternatywa jest prawdziwa, gdy co najmniej jedno ze zdań jest prawdziwe, a równoważność jest prawdziwa, gdy oba zdania są prawdziwe lub fałszywe.
Zadanie 2.1.
43Zadanie 2.2.
43Zadanie 2.3.
43Zadanie 2.4.
43Zadanie 2.5.
43Zadanie 2.6.
43Zadanie 2.7.
44Zadanie 2.8.
44Zadanie 2.9.
44Zadanie 2.10.
44Zadanie 2.11.
44Zadanie 2.12.
44Zadanie 2.13.
45Zadanie 2.14.
45Zadanie 2.15.
45Zadanie 2.16.
45Zadanie 2.17.
45Zadanie 2.18.
45Zadanie 2.19.
46Zadanie 2.20.
46Zadanie 2.21.
46Zadanie 2.22.
46Zadanie 2.23.
46Zadanie 2.24.
46Zadanie 2.25.
46Zadanie 2.26.
47Zadanie 2.27.
47Zadanie 2.28.
47Zadanie 2.29.
47Zadanie 2.30.
47Zadanie 2.31.
48Zadanie 2.32.
48Zadanie 2.33.
48Zadanie 2.34.
48Zadanie 2.35.
48Zadanie 2.36.
49Zadanie 2.37.
49Zadanie 2.38.
49Zadanie 2.39.
49Zadanie 2.40.
49Zadanie 2.41.
50Zadanie 2.42.
50Zadanie 2.43.
50Zadanie 2.44.
50Zadanie 2.45.
50Zadanie 2.46.
50Zadanie 2.47.
50Zadanie 2.48.
51Zadanie 2.49.
51Zadanie 2.50.
51Zadanie 2.51.
51Zadanie 2.52.
51Zadanie 2.53.
51Zadanie 2.54.
51Zadanie 2.55.
52Zadanie 2.56.
52Zadanie 2.57.
52Zadanie 2.58.
52Zadanie 2.59.
52Zadanie 2.60.
52Zadanie 2.61.
53Zadanie 2.62.
53Zadanie 2.63.
53Zadanie 2.64.
53Zadanie 2.65.
53Zadanie 2.66.
53Zadanie 2.67.
54Zadanie 2.68.
54Zadanie 2.69.
54Zadanie 2.70.
54Zadanie 2.71.
54Zadanie 2.72.
54Zadanie 2.73.
54Zadanie 2.74.
55Zadanie 2.75.
55Zadanie 2.76.
55Zadanie 2.77.
55Zadanie 2.78.
56Zadanie 2.79.
56Zadanie 2.80.
56Zadanie 2.81.
56Zadanie 2.82.
56Zadanie 2.83.
57Zadanie 2.84.
57Zadanie 2.85.
57Zadanie 2.86.
57Zadanie 2.87.
57Zadanie 2.88.
57Zadanie 2.89.
58Zadanie 2.90.
58Zadanie 2.91.
58Zadanie 2.92.
58Zadanie 2.93.
58Zadanie 2.94.
59Zadanie 2.95.
59Zadanie 2.96.
59Zadanie 2.97.
59Zadanie 2.98.
59Zadanie 2.99.
59Zadanie 2.100.
59Zadanie 2.101.
60Zadanie 2.102.
60Zadanie 2.103.
60Zadanie 2.104.
60Zadanie 2.105.
60Zadanie 2.106.
61Zadanie 2.107.
61Zadanie 2.108.
61Zadanie 2.109.
61Zadanie 2.110.
61Zadanie 2.111.
61Zadanie 2.112.
62Zadanie 2.113.
62Zadanie 2.114.
62Zadanie 2.115.
62Zadanie 2.116.
62Zadanie 2.117.
62Zadanie 2.118.
62Zadanie 2.119.
63Zadanie 2.120.
63Zadanie 2.126.
63Zadanie 2.127.
64Zadanie 2.128.
64Zadanie 2.129.
64Zadanie 2.130.
64Zadanie 2.131.
64Zadanie 2.132.
65Zadanie 2.133.
65Zadanie 2.134.
65Zadanie 2.135.
65Zadanie 2.136.
66Zadanie 2.137.
66Zadanie 2.138.
66Zadanie 2.139.
66Zadanie 2.140.
67Zadanie 2.141.
67Zadanie 2.142.
67Zadanie 2.143.
67Zadanie 2.144.
67Zadanie 2.145.
68Zadanie 2.146.
68Zadanie 2.148.
68Zadanie 2.149.
69Zadanie 2.150.
69Zadanie 2.151.
69Zadanie 2.165.
70Zadanie 2.166.
70Zadanie 2.169.
71Zadanie 2.175.
71Zadanie 2.176.
71Zadanie 2.177.
72Zadanie 2.178.
72Zadanie 2.179.
72Zadanie 2.180.
72Zadanie 2.181.
73Zadanie 2.184.
73Zadanie 16.
77Zadanie 17.
77Zadanie 19.
77Zadanie 20.
77Zadanie 21.
77Zadanie 22.
77Zadanie 23.
78Zadanie 24.
78Zadanie 26.
78Zadanie 27.
78Zadanie 28.
78Zadanie 30.
79Zadanie 41.
79