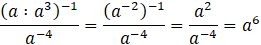
Przedstaw wyrażenie
A.
B.
C.
D.
A.
Skorzystaj z własności działań na potęgach:
Zadanie 2.1.
43Zadanie 2.2.
43Zadanie 2.3.
43Zadanie 2.4.
43Zadanie 2.5.
43Zadanie 2.6.
43Zadanie 2.7.
44Zadanie 2.8.
44Zadanie 2.9.
44Zadanie 2.10.
44Zadanie 2.11.
44Zadanie 2.12.
44Zadanie 2.13.
45Zadanie 2.14.
45Zadanie 2.15.
45Zadanie 2.16.
45Zadanie 2.17.
45Zadanie 2.18.
45Zadanie 2.19.
46Zadanie 2.20.
46Zadanie 2.21.
46Zadanie 2.22.
46Zadanie 2.23.
46Zadanie 2.24.
46Zadanie 2.25.
46Zadanie 2.26.
47Zadanie 2.27.
47Zadanie 2.28.
47Zadanie 2.29.
47Zadanie 2.30.
47Zadanie 2.31.
48Zadanie 2.32.
48Zadanie 2.33.
48Zadanie 2.34.
48Zadanie 2.35.
48Zadanie 2.36.
49Zadanie 2.37.
49Zadanie 2.38.
49Zadanie 2.39.
49Zadanie 2.40.
49Zadanie 2.41.
50Zadanie 2.42.
50Zadanie 2.43.
50Zadanie 2.44.
50Zadanie 2.45.
50Zadanie 2.46.
50Zadanie 2.47.
50Zadanie 2.48.
51Zadanie 2.49.
51Zadanie 2.50.
51Zadanie 2.51.
51Zadanie 2.52.
51Zadanie 2.53.
51Zadanie 2.54.
51Zadanie 2.55.
52Zadanie 2.56.
52Zadanie 2.57.
52Zadanie 2.58.
52Zadanie 2.59.
52Zadanie 2.60.
52Zadanie 2.61.
53Zadanie 2.62.
53Zadanie 2.63.
53Zadanie 2.64.
53Zadanie 2.65.
53Zadanie 2.66.
53Zadanie 2.67.
54Zadanie 2.68.
54Zadanie 2.69.
54Zadanie 2.70.
54Zadanie 2.71.
54Zadanie 2.72.
54Zadanie 2.73.
54Zadanie 2.74.
55Zadanie 2.75.
55Zadanie 2.76.
55Zadanie 2.77.
55Zadanie 2.78.
56Zadanie 2.79.
56Zadanie 2.80.
56Zadanie 2.81.
56Zadanie 2.82.
56Zadanie 2.83.
57Zadanie 2.84.
57Zadanie 2.85.
57Zadanie 2.86.
57Zadanie 2.87.
57Zadanie 2.88.
57Zadanie 2.89.
58Zadanie 2.90.
58Zadanie 2.91.
58Zadanie 2.92.
58Zadanie 2.93.
58Zadanie 2.94.
59Zadanie 2.95.
59Zadanie 2.96.
59Zadanie 2.97.
59Zadanie 2.98.
59Zadanie 2.99.
59Zadanie 2.100.
59Zadanie 2.101.
60Zadanie 2.102.
60Zadanie 2.103.
60Zadanie 2.104.
60Zadanie 2.105.
60Zadanie 2.106.
61Zadanie 2.107.
61Zadanie 2.108.
61Zadanie 2.109.
61Zadanie 2.110.
61Zadanie 2.111.
61Zadanie 2.112.
62Zadanie 2.113.
62Zadanie 2.114.
62Zadanie 2.115.
62Zadanie 2.116.
62Zadanie 2.117.
62Zadanie 2.118.
62Zadanie 2.119.
63Zadanie 2.120.
63Zadanie 2.126.
63Zadanie 2.127.
64Zadanie 2.128.
64Zadanie 2.129.
64Zadanie 2.130.
64Zadanie 2.131.
64Zadanie 2.132.
65Zadanie 2.133.
65Zadanie 2.134.
65Zadanie 2.135.
65Zadanie 2.136.
66Zadanie 2.137.
66Zadanie 2.138.
66Zadanie 2.139.
66Zadanie 2.140.
67Zadanie 2.141.
67Zadanie 2.142.
67Zadanie 2.143.
67Zadanie 2.144.
67Zadanie 2.145.
68Zadanie 2.146.
68Zadanie 2.148.
68Zadanie 2.149.
69Zadanie 2.150.
69Zadanie 2.151.
69Zadanie 2.165.
70Zadanie 2.166.
70Zadanie 2.169.
71Zadanie 2.175.
71Zadanie 2.176.
71Zadanie 2.177.
72Zadanie 2.178.
72Zadanie 2.179.
72Zadanie 2.180.
72Zadanie 2.181.
73Zadanie 2.184.
73Zadanie 16.
77Zadanie 17.
77Zadanie 19.
77Zadanie 20.
77Zadanie 21.
77Zadanie 22.
77Zadanie 23.
78Zadanie 24.
78Zadanie 26.
78Zadanie 27.
78Zadanie 28.
78Zadanie 30.
79Zadanie 41.
79