W tym zadaniu musisz skorzystać z sumy ilości soli po zmieszaniu dwóch roztworów i wody oraz z sumy ilości soli po zmieszaniu trzech roztworów, aby wyliczyć masę każdego roztworu.
x – masa 15-procentowego roztworu solnego w gramach
y – masa 20-procentowego roztworu solnego w gramach
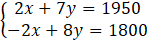
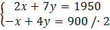
2x + 7y – 2x + 8y = 1950 + 1800
15y = 3750 /:15
y = 250
-x + 4 ∙ 250 = 900
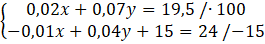
-x + 1000 = 900 /-1000
-x = -100 /∙ (-1)
x = 100
Odp. Bolek i Lolek zmieszali 100 g roztworu 15-procentowego i 250 g roztworu 20-procentowego.
Na początku musisz oznaczyć symbolami masy obu roztworów. Następnie musisz zapisać pierwsze równanie, w którym suma soli w każdym z roztworów (woda to roztwór 0-procentowy) u Bolka stanowi 13% sumy mas wszystkich roztworów. Drugim równaniem będzie to, że suma soli w każdym z roztworów u Lolka stanowi 16% sumy mas wszystkich roztworów.
Zadanie 1
84Zadanie 2
84Zadanie 4
84Zadanie 5
84Zadanie 8
85Zadanie 9
85Zadanie 10
85Zadanie 11
85Zadanie 12
85Zadanie 13
86Zadanie 14
86Zadanie 17
86Zadanie 1
87Zadanie 2
87Zadanie 3
87Zadanie 4
87Zadanie 5
87Zadanie 6
87Zadanie 7
88Zadanie 9
88Zadanie 14
89Zadanie 15
89Zadanie 16
89Zadanie 18
89Zadanie 19
89Zadanie 21
89Zadanie 1
90Zadanie 2
90Zadanie 3
90Zadanie 4
90Zadanie 5
90Zadanie 6
90Zadanie 7
90Zadanie 8
91Zadanie 9
91Zadanie 10
91Zadanie 11
91Zadanie 12
91Zadanie 13
91Zadanie 14
92Zadanie 16
92Zadanie 18
92Zadanie 21
92Zadanie 12
94Zadanie 5
97Zadanie 1
101Zadanie 6
101Zadanie 7
101Zadanie 10
102Zadanie 11
102Zadanie 12
102Zadanie 13
102