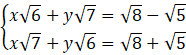
W tym zadaniu określ sumę niewiadomych x i y, jeśli dany jest układ
Odp.
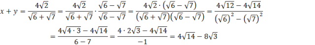
Na początku zadania musiszdodać oba równania do siebie stronami. Musisz wyłączyć wspólne czynniki odpowiednich niewiadomych przed nawias. Czynniki obu niewiadomych są takie same, więc musisz ponownie wyciągnąć je przed nawias. Musisz podzielić równanie przez ten czynnik. Po lewej stronie znajduje się szukana suma rozwiązań. Po prawej stronie musisz usunąć niewymierność z mianownika, korzystając ze wzoru na różnicękwadratów a2 – b2 = (a – b)(a + b).
Zadanie 1
84Zadanie 2
84Zadanie 4
84Zadanie 5
84Zadanie 8
85Zadanie 9
85Zadanie 10
85Zadanie 11
85Zadanie 12
85Zadanie 13
86Zadanie 14
86Zadanie 17
86Zadanie 1
87Zadanie 2
87Zadanie 3
87Zadanie 4
87Zadanie 5
87Zadanie 6
87Zadanie 7
88Zadanie 9
88Zadanie 14
89Zadanie 15
89Zadanie 16
89Zadanie 18
89Zadanie 19
89Zadanie 21
89Zadanie 1
90Zadanie 2
90Zadanie 3
90Zadanie 4
90Zadanie 5
90Zadanie 6
90Zadanie 7
90Zadanie 8
91Zadanie 9
91Zadanie 10
91Zadanie 11
91Zadanie 12
91Zadanie 13
91Zadanie 14
92Zadanie 16
92Zadanie 18
92Zadanie 21
92Zadanie 12
94Zadanie 5
97Zadanie 1
101Zadanie 6
101Zadanie 7
101Zadanie 10
102Zadanie 11
102Zadanie 12
102Zadanie 13
102