W tym zadaniu musisz skorzystać z zależności między cenami lodów, aby wskazać najdroższe z nich.
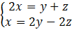
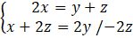
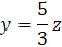
x – cena porcji lodów owocowych
y – cena porcji lodów czekoladowych
z – cena porcji lodów waniliowych
2(2y – 2z) = y + z
4y – 4z = y + z /-y
3y – 4z = z /+4z
3y = 5z /:3
z < x < y
Odp. Najdroższe są lody czekoladowe.
Na początku musisz oznaczyć symbolami ceny porcji każdego rodzaju lodów. Następnie musisz zapisać pierwsze równanie, w którym koszt podwójnej porcji lodów owocowych stanowi kwotę sumy porcji pozostałych lodów. Drugim równaniem będzie to, że kwota, którą trzeba zapłacić za porcję lodów owocowych i podwójną porcję lodów waniliowych jest równa cenie podwójnej porcji lodów czekoladowych. Z drugiego równania powinieneś wyznaczyć cenę lodów owocowych i podstawić ją do pierwszego równania. W kolejnym kroku powinieneś wyznaczyć z tego równania cenę, któregokolwiek rodzaju lodów. Na końcu musisz sprawdzić, która cena jest największa.
Zadanie 1
84Zadanie 2
84Zadanie 4
84Zadanie 5
84Zadanie 8
85Zadanie 9
85Zadanie 10
85Zadanie 11
85Zadanie 12
85Zadanie 13
86Zadanie 14
86Zadanie 17
86Zadanie 1
87Zadanie 2
87Zadanie 3
87Zadanie 4
87Zadanie 5
87Zadanie 6
87Zadanie 7
88Zadanie 9
88Zadanie 14
89Zadanie 15
89Zadanie 16
89Zadanie 18
89Zadanie 19
89Zadanie 21
89Zadanie 1
90Zadanie 2
90Zadanie 3
90Zadanie 4
90Zadanie 5
90Zadanie 6
90Zadanie 7
90Zadanie 8
91Zadanie 9
91Zadanie 10
91Zadanie 11
91Zadanie 12
91Zadanie 13
91Zadanie 14
92Zadanie 16
92Zadanie 18
92Zadanie 21
92Zadanie 12
94Zadanie 5
97Zadanie 1
101Zadanie 6
101Zadanie 7
101Zadanie 10
102Zadanie 11
102Zadanie 12
102Zadanie 13
102